Page 23 - nota sains t4 kbsm
P. 23
23
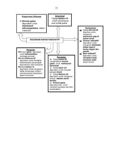
Pengawetan Makanan Arkeologi
*Isotop karbon-14
Sinaran gama untuk menentukan
digunakan untuk usia artifak purba
membunuh
mikroorganisma dalam Perindustrian
makanan Isotop natrium-24
digunkan untuk
mengesan
kebocoran paip di
bawah tanah
KEGUNAAN BAHAN RADIOAKTIF Sinaran radioaktif
digunakan untuk
mengesan ketebalan
bahan seperti
Pertanian kertas, logam dan
plastik
Sinaran gama digunakan Besi radioaktif
untuk memandulkan digunakan untuk
serangga perosak Perubatan mengukur kada
Isotop fosforus-32 Isotop kobalt-60 kehausan enjin
digunakan untuk mengkaji menghasilkan sinaran dalam kereta
keberkesanan penyerapan
baja tertentu oleh tumbuhan gama untuk membunuh
Isotop karbon-14 sel kanser
digunakan untuk mengesan Isotop iodin-131
kadar penyerapan karbon digunakan untuk merawat
penyakit tiroid
semasa proses fotosintesis Isotop Natrium-24
dalam tumbuhan digunakan untuk mengesan
tempat sekatan darah
berlaku
Sinaran gama
digunakanmen untuk
mensteril peralatan dan bilik
pembedahan

