Page 22 - nota sains f5
P. 22
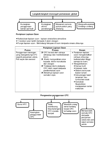
7
Langkah-langkah mencegah pemanasan global
Kurangkan Kurangkan Menanam semula Menguatkuasakan
penggunaan aktiviti pokok-pokok yang Undang--undang
bahan api fosil penebangan ditebang
hutan
Penipisan Lapisan Ozon
Kedudukan lapisan ozon: lapisan stratosfera atmosfera
1 molekul ozon terdiri daripada 3 atom oksigen
Fungsi lapisan ozon: Melindungi hidupan di bumi daripada sinara ultraungu
Penipisan Lapisan Ozon
Punca Proses Kesan
Penggunaan barangan CFC terurai oleh cahaya Penipisan lapisan
yang mengandungi CFC ultraungu dan membebaskan ozon mengakibatkan
seperti penyaman udara, klorin. cahaya ultraungu
Peti sejuk dan aerosol Klorin menguraikan ozon berkeamatan tinggi
kepada klorin monoksida samapi ke bumi.
dan oksigen Mengakibatkan:
Tindakan klorin daripada Kanser kulit
CFC lebih cepat daripada Katarak mata
pembentukan ozon Sistem keimunan
Akibatnya lapisan ozon badan lemah
semakin nipis Kekurangan hasil
tanaman: tisu
tumbuhan rosak
Kematian
fitoplankton:
menjejaskan rantai
makanan
Pengawalan penggunaan CFC
Guna HFC Tidak Mendidik orang
membuang ramai tentang
Sisa barangan kesan CFC
CFC merata terhadap ozon Memperoleh
Kurangkan tempat semula CFC
penggunaan daripada
CFC
penyaman
udara dan peti
sejuk semasa
servis

