Page 5 - MQA DOKUMEN
P. 5
Ijazah Sarjana Doktor Falsafah sejarah (KUIM)
MQA-02 (Mohon Akreditasi Penuh) JULAI 2017
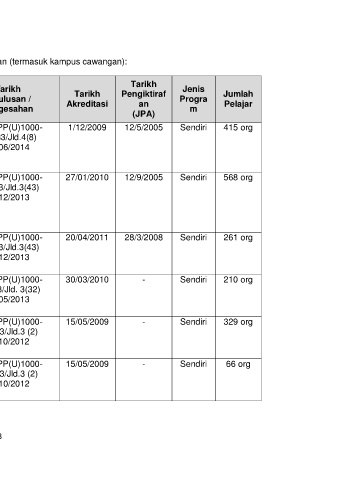
13. Maklumat terperinci program semasa yang dijalankan (termasuk kampus cawangan):
Badan Tarikh Tarikh Jenis
Peringk Yang Tarikh Pengiktiraf Jumlah
Bil Nama program Kelulusan / Progra
at Menganugerahk pengesahan Akreditasi an m Pelajar
an (JPA)
1 Diploma Diploma Kolej Universiti JPT/BPP(U)1000- 1/12/2009 12/5/2005 Sendiri 415 org
Pengurusan dan Islam Melaka 801/83/Jld.4(8)
Pentadbiran (KUIM) 30/06/2014
Islam
2 Diploma Diploma Kolej Universiti JPT/BPP(U)1000- 27/01/2010 12/9/2005 Sendiri 568 org
Pengajian Islam Islam Melaka 801/83/Jld.3(43)
dengan (KUIM) 19/12/2013
Pembangunan
Sumber Manusia
3 Diploma Syariah Diploma Kolej Universiti JPT/BPP(U)1000- 20/04/2011 28/3/2008 Sendiri 261 org
Islam Melaka 801/83/Jld.3(43)
(KUIM) 19/12/2013
4 Diploma Diploma Kolej Universiti JPT/BPP(U)1000- 30/03/2010 - Sendiri 210 org
Kewangan Islam Melaka 801/83/Jld. 3(32)
Syariah (KUIM) 17/05/2013
5 Diploma Syariah Diploma Kolej Universiti JPT/BPP(U)1000- 15/05/2009 - Sendiri 329 org
Islamiyyah Islam Melaka 801/83/Jld.3 (2)
(KUIM) 22/10/2012
6 Diploma Diploma Kolej Universiti JPT/BPP(U)1000- 15/05/2009 - Sendiri 66 org
Usuluddin Islam Melaka 801/83/Jld.3 (2)
(KUIM) 22/10/2012
3

