Page 305 - คู่มือบัณฑิตศึกษา ปีการศึกษา 2563
P. 305
คู่มือนิสิตระดับบัณฑิตศึกษา วิทยาลัยสงฆ์ขอนแก่น | 297
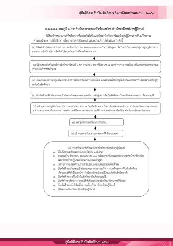
ขั้นตอนการด าเนินการขอส าเร็จการศึกษา
๑. นิสิตเข้าเล่มปกด าวิทยานิพนธ์/ดุษฎีนิพนธ์
๒. ส่งเอกสารต่อเลขานุการหลักสูตร ตามเอกสารอื่นๆ ที่เกี่ยวข้องตามรายการ ดังนี้
๑. วิทยานิพนธ์/ดุษฎีนิพนธ์/สารนิพนธ์/บทความวิชาการ/บทวิจารณ์
หนังสือ อย่างละ ๔ ชุด (เพื่อมอบให้หอสมุดส่วนกลาง ๑ ชุด/บัณฑิตวิทยาลย ๑
ั
ชุด/ห้องสมุดขอนแก่น ๒ ชุด)
๒. ส าเนาหน้าปก/หน้าอนุมัติลงนามจริง (ห้ามใช้ส าเนา)/บทคัดย่อ
ั
ภาษาไทยและองกฤษ อย่างละ ๒ ชุด (เพื่อมอบให้บัณฑิตวิทยาลัย ๑ ชุด/
หลักสูตร ๑ ชุด)
๓. แผ่น CD บรรจุข้อมูลวิทยานิพนธ์/สารนิพนธ์ฉบับสมบูรณ์
ื
่
(Word&PDF) จ านวน ๓ ชุด(เพอมอบใหหอสมุดสวนกลาง ๑ ชุด/บัณฑิต
่
้
วิทยาลัย ๑ ชุด/หลักสูตร ๑ ชุด)
๔. บฑ. ๑๒ (ใบน าส่งวิทยานิพนธ์/สารนิพนธ)
์
ั
ื
ี
๕. หนงสอรับรองการตพมพบทความในวารสารฐาน TCI หรืองานประชม
์
ิ
ุ
วิชาการระดับชาติ/นานาชาติ (ห้ามใช้ส าเนา)
๖. บฑ.๑๓ แบบค าร้องเกี่ยวกับการสอบและการจบการศึกษา
๗. บฑ.๑๔ ใบแสดงผลการศึกษาของผู้มีสิทธิ์รับปริญญา
๘. หนังสือรับรองการปฏิบัติธรรมครบตามก าหนด
๙. หนังสือรับรองการสอบผ่านภาษาต่างประเทศ
๑๐. หนังสือรับรองเกรด
๓. เลขานุการหลักสูตรตรวจสอบเอกสารแล้วให้ส่งเจ้าหน้าที่บัณฑิตศึกษา
ึ
๔. บัณฑิตศึกษาเสนอขออนุมัติส าเร็จการศกษาตอคณะกรรมการบริหาร
่
บัณฑิตศึกษาขอนแก่นบัณฑิตวิทยาลัย สภาวิชาการ และสภามหาวิทยาลัย
ตามล าดับ
๕. นิสิตติดต่อกองทะเบียนและวัดผลเพื่อรับปริญญาและใบรับรองผลการศึกษา
(Transcript)

