Page 233 - หนังสือประชุมวิชาการ
P. 233

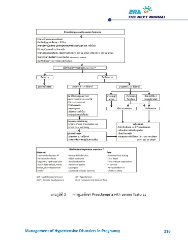
แผนภูมิที่ 2   การดูแลรักษา Preeclampsia with severe features









                 Management of Hypertensive Disorders in Pregnancy                                          216
   228   229   230   231   232   233   234   235   236   237   238