Page 266 - หนังสือประชุมวิชาการ
P. 266

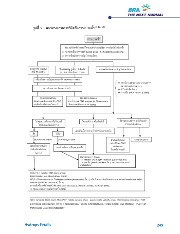
รูปที่ 3   แนวทางการตรวจวินิจฉัยภาวะบวมน้ำ (3, 16, 17)
















































































                  Hydrops Fetalis                                                                           249
   261   262   263   264   265   266   267   268   269   270   271