Basic HTML Version
Table of Contents
View Full Version
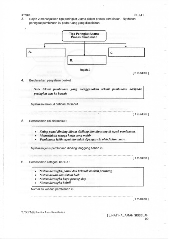
Page 100 - 30. MODUL ASAS KELESTARIAN
P. 100
95
96
97
98
99
100
101
102
103
104
105