Page 15 - เลขยกกำลง ฮปโป_Neat
P. 15

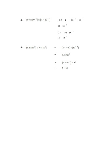
4.                                          2.5 4         10  4   10   3

                        .                                                   7
                                                                   10 10


                                                                  (1.0 10) 10       7

                                                                  1.0 10    6



                        5.


                        .
   10   11   12   13   14   15   16   17   18   19   20