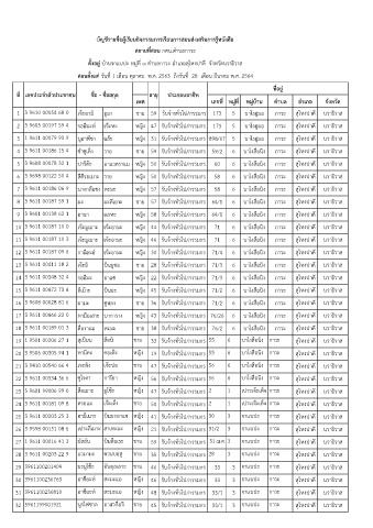
Page 18 - ผู้ไม่รู้หนังสือ
P. 18
ิ
ี
ู
ั
ื
ี
ี
ั
บญชรายชอผเรยนกจกรรมการเรยนการสอนสงเสรมการรหนงสอ
้
ื
่
ิ
่
ู
้
ี
่
สถานทสอน กศน.ตาบลกาวะ
ี
้
ั
้
ตงอย บานจาแบปะ หมท ๓ ตาบลกาวะ อาเภอสไหงปาด จงหวดนราธวาส
่
ู
ุ
ี
่
ั
ิ
ู
ั
่
ื
่
ั
้
ึ
ุ
ั
ี
ี
ื
่
ี
ั
่
สอนตงแต วนท 1 เดอน ตลาคม พ.ศ. 2563 ถงวนท 28 เดอน มนาคม พ.ศ. 2564
ทอย ่ ู
ี
่
ท เลขประจ าตัวประชาชน ชอ - ชอสกล อาย ุ ประกอบอาชพ
ื
ื
่
ี
่
ี
่
ุ
ี
ั
เพศ เลขท หมท หมบาน ตาบล อาเภอ จงหวด
้
ู
่
่
ู
ี
ั
่
่
1 3 9610 00054 68 0 เจะอาม ิ อมา ชาย 59 รบจางทวไป/กรรมกร 173 5 บาโงฮมอ กาวะ สไหงปาด ี นราธวาส
ุ
ั
ู
ู
่
ั
้
ิ
๊
2 3 9605 00197 59 4 รอฮมะห ์ เจะหะ หญง 47 รบจางทวไป/กรรมกร 173 5 บาโงฮมอ กาวะ สไหงปาด ี นราธวาส
ิ
่
ิ
ู
ั
๊
ุ
ี
้
ั
3 1 9611 00079 93 9 นอาพซา และ ๊ หญง 31 รบจางทวไป/กรรมกร 898/67 5 บาโงฮมอ กาวะ สไหงปาด ี นราธวาส
ู
ั
ิ
ู
ี
ิ
ุ
ั
่
้
4 3 9611 00186 15 4 ซาซเดง ็ วาย ชาย 59 รบจางทวไป/กรรมกร 59/2 6 บาโงสอนง ิ กาวะ สไหงปาด ี นราธวาส
ุ
ิ
ู
ั
้
ั
่
ื
5 3 9608 00078 32 1 ปารดะ อาเเวดราแม หญง 50 รบจางทวไป/กรรมกร 60 6 บาโงสอนง ิ กาวะ สไหงปาด ี นราธวาส
ั
ุ
๊
ี
่
ิ
ิ
ั
้
ื
6 3 9698 00122 50 4 สตรอเมาะ วาย หญง 50 รบจางทวไป/กรรมกร 58 6 บาโงสอนง ิ กาวะ สไหงปาด ี นราธวาส
ื
ิ
้
ั
่
ั
ิ
ี
ุ
ี
7 3 9611 00186 06 9 นางกลอซง หะมะ หญง 57 รบจางทวไป/กรรมกร 58 6 บาโงสอนง ิ กาวะ สไหงปาด ี นราธวาส
ุ
ิ
้
่
ั
ั
ื
ิ
ื
8 3 9611 00187 59 1 มะ มะดเยาะ ชาย 57 รบจางทวไป/กรรมกร 64/1 6 บาโงสอนง ิ กาวะ สไหงปาด ี นราธวาส
ี
ั
่
ุ
ื
้
ั
ิ
9 3 9601 00138 62 1 ฮานา เเลหะ หญง 58 รบจางทวไป/กรรมกร 64/1 6 บาโงสอนง ิ กาวะ สไหงปาด ี นราธวาส
ั
้
ุ
ิ
ั
่
ิ
ื
10 3 9611 00187 10 0 เจะมเมาะ เจะอามะ หญง 44 รบจางทวไป/กรรมกร 71 6 บาโงสอนง ิ กาวะ สไหงปาด ี นราธวาส
้
ิ
๊
ู
ื
ั
่
ั
ิ
ุ
๊
11 3 9611 00187 10 3 เจะมเมาะ เจะอามะ หญง 46 รบจางทวไป/กรรมกร 71 6 บาโงสอนง ิ กาวะ สไหงปาด ี นราธวาส
ิ
ั
ู
๊
่
้
ิ
๊
ั
ื
ุ
12 3 9611 00187 09 6 กามละฮ ์ เจะอามะ หญง 30 รบจางทวไป/กรรมกร 71/4 6 บาโงสอนง ิ กาวะ สไหงปาด ี นราธวาส
ี
่
ุ
ั
ั
๊
้
ิ
ิ
ื
13 3 9611 00411 18 2 เจะย ิ บนมซอ ชาย 28 รบจางทวไป/กรรมกร 71/3 6 บาโงสอนง ิ กาวะ สไหงปาด ี นราธวาส
ื
่
ั
๊
ิ
ิ
้
ั
ุ
ู
14 3 9611 00348 32 4 รอฮมะ อาแซ หญง 22 รบจางทวไป/กรรมกร 71/3 6 บาโงสอนง ิ กาวะ สไหงปาด ี นราธวาส
ิ
ี
ื
ุ
้
ิ
ั
่
ั
15 3 9611 00472 73 4 ลเมาะ บนมะ หญง 45 รบจางทวไป/กรรมกร 71/2 6 บาโงสอนง ิ กาวะ สไหงปาด ี นราธวาส
๊
ั
ื
ิ
ุ
ี
ั
่
ิ
้
ิ
16 3 9608 00028 81 6 มามะ ซหลง ชาย 36 รบจางทวไป/กรรมกร 71/2 6 บาโงสอนง ิ กาวะ สไหงปาด ี นราธวาส
ุ
ิ
ื
่
ั
ั
้
ู
17 3 9611 00466 22 0 หามอเสาะ บาการาง หญง 43 รบจางทวไป/กรรมกร 76/26 6 บาโงสอนง ิ กาวะ สไหงปาด ี นราธวาส
่
ั
้
ั
ื
ื
ุ
ิ
ิ
18 3 9611 00189 01 3 ดอราแม หะมะ ชาย 38 รบจางทวไป/กรรมกร 76/2 6 บาโงสอนง ิ กาวะ สไหงปาด ี นราธวาส
ิ
้
ื
ื
่
ั
ั
ุ
ิ
ี
ุ
ื
ื
19 1 9501 00206 27 1 สเปยน สอน ิ ชาย 33 รับจ้างทัวไป/กรรมกร 55 6 บาโงสอนง กาวะ สไหงปาด ี นราธวาส
ิ
่
ุ
20 3 9506 00305 94 1 หามดะ คอเตะ หญง 19 รับจ้างทัวไป/กรรมกร 55 6 บาโงสอนง กาวะ สไหงปาด ี นราธวาส
ื
ิ
๊
ี
ิ
่
ุ
ิ
21 3 9410 00540 66 4 เจะดง ิ เจะปอ ชาย 47 รับจ้างทัวไป/กรรมกร 56 6 บาโงสอนง กาวะ สไหงปาด ี นราธวาส
๊
ิ
ื
ิ
ุ
่
ู
ื
22 3 9611 00334 36 6 ซไรดา การยา หญง 56 รับจ้างทัวไป/กรรมกร 56 6 บาโงสอนง กาวะ สไหงปาด ี นราธวาส
ิ
ี
ิ
่
ิ
ุ
23 5 9601 99006 99 0 สอเมาะ ยโซะ ๊ หญง 47 รับจ้างทัวไป/กรรมกร 2 1 เปาะเจะเตง กาวะ สไหงปาด ี นราธวาส
๊
็
ิ
ู
ื
่
ิ
ุ
็
24 3 9611 00181 09 8 ดรอแม เจะเดง ็ ชาย 50 รับจ้างทัวไป/กรรมกร 2 1 เปาะเจะเตง กาวะ สไหงปาด ี นราธวาส
๊
๊
ิ
ุ
่
ี
ิ
ิ
25 3 9611 00203 25 3 ฮามเนาะ บนมะอาแซ หญง 41 รับจ้างทัวไป/กรรมกร 30 3 จาเเบปะ กาวะ สไหงปาด ี นราธวาส
่
ิ
ุ
26 3 9598 00151 08 6 เปาะลเมาะ สาเหะมะ หญง 21 รับจ้างทัวไป/กรรมกร 31/2 3 จาเเบปะ กาวะ สไหงปาด ี นราธวาส
ิ
ี
ิ
ุ
่
ั
27 1 9611 00016 41 3 มสลน บนดอเระ ชาย 59 รับจ้างทัวไป/กรรมกร 31-ม.ค. 3 จาเเบปะ กาวะ สไหงปาด ี นราธวาส
ื
ิ
ั
่
ุ
ิ
28 3 9611 00203 22 9 แวมามะ ตวนบอส ู ชาย 35 รับจ้างทัวไป/กรรมกร 28 3 จาเเบปะ กาวะ สไหงปาด ี นราธวาส
ิ
่
ุ
๊
ั
ุ
29 3961100201404 มะยโซะ อบดลเลาะ ชาย 46 รับจ้างทัวไป/กรรมกร 33 3 จาเเบปะ กาวะ สไหงปาด ี นราธวาส
ู
ุ
ิ
่
ิ
ี
30 3961100236763 อาซยะห ์ สะมะแอ หญง 46 รับจ้างทัวไป/กรรมกร 33 3 จาเเบปะ กาวะ สไหงปาด ี นราธวาส
่
ุ
ิ
ิ
ี
31 3961100236810 อาซยะห ์ สะมะแอ หญง 48 รับจ้างทัวไป/กรรมกร 33/1 3 จาเเบปะ กาวะ สไหงปาด ี นราธวาส
ุ
ิ
่
ู
32 5961199001921 นรไฟซาล อาแวกอจ ิ ชาย 45 รับจ้างทัวไป/กรรมกร 33/1 3 จาเเบปะ กาวะ สไหงปาด ี นราธวาส
ื
่
ิ
ุ

