Page 72 - Municipal_Library_of_Getamej.xlsx
P. 72
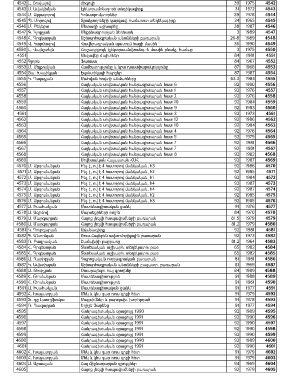
4542 Լ. Շուվալով ժիգուլի 39 1975 4542
4543 Ս. Ավակիմյան Էլեկտրամոնտյորի տեղեկագիրք 31 1972 4543
4544 Մ. Արլազորով Կոնստրուկտորներ 39 1978 4544
4545 Պ. Մորոզով Տրակտորների կարգավ. համառոտ տեղեկագիրք 34 1965 4545
4546 Մ. Բեկերտ Մետաղի աշխարհը 38 1987 4546
4547 Գ. Կյոքչյան Մեքենագրության ձեռնարկ 3 1989 4547
4548 Հ. Գրգեարյան Աշխարհագրական անունների բառարան 26-8 1989 4548
4549 Վ. Կարմազով Վավերագրական պատում հացի մասին 36 1990 4549
4550 Լ. Վայնշտեյն Հուշագրքույկ էլեկտրաանվտանգ.-ն մասին բնակչ. համար 3 1975 4550
4551 Անվավեր ժպիտներ 84 1981 4551
4552 Գյոթե Ֆաուստ 84 1967 4552
4553 Մ. Մելքումյան Համեստությունը և նրա դաստիարակությունը 87 1968 4553
4554 Յա. Խաչիկյան Էսթետիկայի հարցեր 87 1987 4554
4555 Կ. Ղալաչյան Մահվան հովտի անմահները 63.3 1984 4555
4556 Հայկական սովետական հանրագիտարան հատ 6 92 1980 4556
4557 Հայկական սովետական հանրագիտարան հատ 1 92 1976 4557
4558 Հայկական սովետական հանրագիտարան հատ 2 92 1976 4558
4559 Հայկական սովետական հանրագիտարան հատ 10 92 1984 4559
4560 Հայկական սովետական հանրագիտարան հատ 9 92 1983 4560
4561 Հայկական սովետական հանրագիտարան հատ 3 92 1973 4561
4562 Հայկական սովետական հանրագիտարան հատ 12 92 1986 4562
4563 Հայկական սովետական հանրագիտարան հատ 10 92 1984 4563
4564 Հայկական սովետական հանրագիտարան հատ 4 92 1978 4564
4565 Հայկական սովետական հանրագիտարան հատ 5 92 1979 4565
4566 Հայկական սովետական հանրագիտարան հատ 7 92 1981 4566
4567 Հայկական սովետական հանրագիտարան հատ 7 92 1981 4567
4568 Հայկական սովետական հանրագիտարան հատ 8 92 1982 4568
4569 Սովետական Հայաստան ՀՍՀ 92 1987 4569
4570 Մ. Արզումանյան Ինչ է, ով է 4 հատորով մանկական, հ3 92 1986 4570
4571 Մ. Արզումանյան Ինչ է, ով է 4 հատորով մանկական, հ2 92 1985 4571
4572 Մ. Արզումանյան Ինչ է, ով է 4 հատորով մանկական, հ1 92 1984 4572
4573 Մ. Արզումանյան Ինչ է, ով է 4 հատորով մանկական, հ4 92 1987 4573
4574 Մ. Արզումանյան Ինչ է, ով է 4 հատորով մանկական, հ4 92 1987 4574
4575 Մ. Արզումանյան Ինչ է, ով է 4 հատորով մանկական, հ2 92 1985 4575
4576 Մ. Արզումանյան Ինչ է, ով է 4 հատորով մանկական, հ3 92 1985 4576
4577 Ա. Իսահակյան Մատենագիտական ցանկ 91 1976 4577
4578 Ա. Ազիմով Մարսեցիների ուղին 84 1970 4578
4579 Ա. Մարգարյան Հայոց լեզվի հապավումների բառարան 81.5 1979 4579
4580 Ա. Մարգարյան Հայոց լեզվի հապավումների բառարան 81.2 1979 4580
4581 Կ. Դուրգարյան Ավանագիրք 92 1981 4581
4582 Գ. Անտոնյան Ռուս-Հայերեն ավտոմոբիլային բառարան 92 1973 4582
4583 Ռ. Բաղրամյան Շամախիի բարբառը 81.2 1964 4583
4584 Հ. Գրգեստյան Տնտեսական աշխարհ. տեղեկատու բառ 65 1982 4584
4585 Հ. Գրգեստյան Տնտեսական աշխարհ. տեղեկատու բառ 65 1982 4585
4586 Ա. Ղարիբյան Դպրոցական ուղղագրական բառարան 81 1981 4586
4587 Կ. Ավետիսյան Աշխարհագրական անունների բացատր. բառարան 81 1969 4587
4588 Ա. Թոփչյան Օտարալեզու հայ գրողներ 84 1989 4588
4589 Հ. Թումանյան Մատենագիտություն 91 1988 4589
4590 Հ. Թումանյան Մատենագիտություն 91 1961 4590
4591 Ա. Իսահակյան Մատենագիտական ցանկ 91 1977 4591
4592 Հ. Խաչատրյան Մեկ և կես դար ռուս գրքի հետ 91 1979 4592
4593 Ֆ. դը Լառոշֆուկա Մաքսիմներ և բարոյախ. խորհրդած 91 1978 4593
4594 Ռ. Ղազարյան Եղիշե Չարենց 91 1977 4594
4595 Հանրագիտական օրացույց 1990 92 1989 4595
4596 Հանրագիտական օրացույց 1991 92 1990 4596
4597 Հանրագիտական օրացույց 1991 92 1990 4597
4598 Հանրագիտական օրացույց 1991 92 1990 4598
4599 Հանրագիտական օրացույց 1991 92 1990 4599
4600 Հանրագիտական օրացույց 1990 92 1989 4600
4601 Հանրագիտական օրացույց 1991 92 1990 4601
4602 Հ. Խաչատրյան Մեկ և կես դար ռուս գրքի հետ 91 1979 4602
4603 Հ. Խաչատրյան Մեկ և կես դար ռուս գրքի հետ 91 1979 4603
4604 Ա. Արապյան Հայ միջնադարյան զրույցներ 94 1969 4604
4605 Հայոց լեզվի հապավումների բառարան 92 1979 4605

