Page 148 - INFO PENGURUSAN 2019
P. 148
Info Pengurusan SMK Padang Tengku 2019
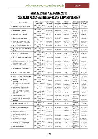
SENARAI STAF AKADEMIK 2019
SEKOLAH MENENGAH KEBANGSAAN PADANG TENGKU
NAMA JAWATAN TARIKH MULA TARIKH TARIKH TARIKH SAH TARIKH MULA
BIL NAMA GURU
DAN GRED DILANTIK DISAHKAN NAIK PANGKAT GRED SKRG DI SMKPT
GURU PENOLONG 01/07/14
28 KHAIRUL HISHAM BIN UDIN 17/01/00 01/11/02 01/07/14 16/05/08
DG 44 DG 44
GURU PENOLONG 01/09/12
29 MARINI BINTI HARUN 01/09/04 30/06/06 01/09/12 14/08/04
DG 44 DG 44
30 MATSAUFIAN BIN MAT GURU PENOLONG 01/11/07 27/03/09 01/11/15 01/11/15 01/11/07
DG 44 DG 44
GURU PENOLONG 01/09/09
31 MOHD ASRI BIN YAMIN 01/01/94 01/01/97 01/09/09 27/05/01
DG 44 DG44
32 NOR AZMA BINTI CHE BUSU GURU PENOLONG 01/10/05 29/06/07 01/10/13 01/10/13 01/01/14
DG 44 DG 44
GURU PENOLONG 07/01/12
33 NORHASHIMAH BINTI YUSOP 01/10/06 01/10/07 07/01/12 01/06/06
DG 44 DG 44
NORHUSAIMI BIN IBRAHIM @ GURU PENOLONG 29/03/15
34 29/03/07 01/05/09 29/03/15 29/03/07
TAIB DG 44 DG44
GURU PENOLONG 01/07/15
35 NORLAILA BINTI HASSAN 01/11/07 27/03/09 01/07/15 01/11/07
DG 44 DG 44
GURU PENOLONG 16/12/15
36 NORZULAILA BINTI AWANG NIT 11/01/2008 25/03/11 16/12/15 10/11/08
DG 44 DG 44
GURU PENOLONG 02/01/13
37 NOOR HASMAH BT. CHE HASSAN 02/01/05 30/06/06 02/01/13 01/03/07
DG 44 DG 44
ROS BIN CHE AHMAD GURU PENOLONG 10/11/16
38 10/11/08 02/12/10 10/11/16 11/06/18
DG 44 DG 44
GURU PENOLONG 21/02/15
39 NUR HASLINDA BINTI RAZALI 21/02/07 01/05/09 21/02/15 21/02/07
DG 44 DG 44
GURU PENOLONG 21/02/15
40 NURUL ELIANA BINTI DAUD 21/02/07 25/04/08 21/02/15 01/01/16
DG 44 DG 44
GURU PENOLONG 09/04/11
41 NURUL HUSNA BINTI SABRAN 09/04/01 26/07/03 09/04/11 13/07/09
DG 44 DG 44
RINAWATI BINTI MOHD. GURU PENOLONG 12/9/2013
42 12/09/05 12/09/05 29/06/07 23/06/14
NAWAWI DG 44 DG 44
SITI ALIFAH @ SITI ARMI BT. GURU PENOLONG 01/01/12
43 17/06/02 17/06/03 01/01/12 17/06/02
AHMAD DG 44 DG 44
GURU PENOLONG 22/02/15
44 HASLINDDA BIN CHE NOH 21/02/07 21/02/08 22/02/15 14/02/18
DG 44 DG 44
SITI ROHANA BINTI MOHD GURU PENOLONG 01/06/2016
45 01/01/01 01/04/03 01/06/16 20/01/14
YUSOFF DG 44 DG 44
GURU PENOLONG 01/08/2013
46 SUHAIMI BIN YUSOF 17/01/2000 17/01/2003 01/08/2013 01/06/2017
DG 44 DG 44
SURIYATI BT. MAKMININ @ GURU PENOLONG 26/06/15
47 26/06/07 01/05/09 26/06/15 26/06/07
MENEN DG 44 DG 44
GURU PENOLONG 12/01/17
48 NORINI BINTI ABD SAMAD 12/01/09 27/05/11 12/01/17 13/01/09
DG 44 DG 44
GURU PENOLONG 01/07/13
49 HALIZA BINTI ABU BAKAR 01/07/13 01/07/14 01/07/13 01/07/13
DG 41 DG 41
GURU PENOLONG 17/08/15 17/08/15
50 HANIF BIN AHMAD 17/08/15 17/08/15
DG 41 DG 41
NIK NURLIYANA BINTI NIK GURU PENOLONG 23/05/12
51 23/05/12 23/05/13 23/05/12 23/05/12
NORDIN DG 41 DG 41
GURU PENOLONG 01/01/14
52 NORAINI BINTI ISHAK 23/05/12 23/05/13 23/05/12 01/01/2014
DG 41 DG 41
GURU PENOLONG 27/09/10
53 AZIAH BINTI ABDUL RAZAK 27/09/10 15/05/12 27/09/10 27/09/10
DG 41 DG 41
GURU PENOLONG 23/05/12
54 HAMDAN BIN RAMLI 23/05/12 23/05/14 23/05/12 01/01/18
DG 41 DG 41
123

