Page 116 - Buku Panduan Pengurusan 2020 SK Bandar Pusat
P. 116
Buku Panduan Pengurusan Sekolah 2020
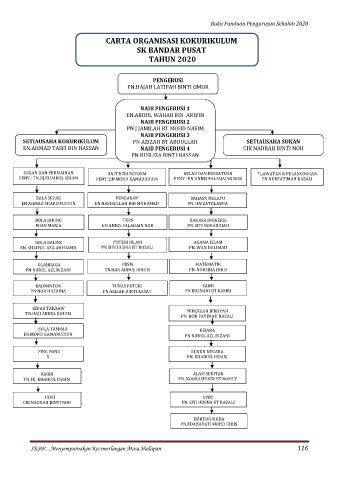
CARTA ORGANISASI KOKURIKULUM
SK BANDAR PUSAT
TAHUN 2020
PENGERUSI
PN.HAJAH LATIPAH BINTI OMOR
NAIB PENGERUSI 1
EN.ABDUL WAHAB BIN ARIPIN
NAIB PENGERUSI 2
PN J JAMILAH BT MOHD NASIM
NAIB PENGERUSI 3
SETIAUSAHA KOKURIKULUM PN AZIZAH BT ABDULLAH SETIAUSAHA SUKAN
EN.AHMAD TASFI BIN HASSAN NAIB PENGERUSI 4 CIK NADRAH BINTI NOH
PN RUSLIZA BINTI HASSAN
SUKAN DAN PERMAINAN UNIT BERUNIFORM KELAB DAN PERSATUAN * LAWATAN & PELANCONGAN
PENY : TN.HJ.KHAIRUL ISHAM PENY :EN MOHD KAMARUDDIN PENY : EN ANNIS FALAHAIAN NOR PN.NURFATIMAH RAZALI
BOLA SEPAK PENGAKAP BAHASA MELAYU
EN.AHMAD SHARIFFUDDIN EN HAFIZULLAH BIN MOHAMED PN. HAIZATOLASMA
BOLA JARING TKRS BAHASA INGGERIS
PUAN MARIA EN ANNIS FALAHAIN NOR PN. SITI NORABIHAH
BOLA BALING PUTERI ISLAM AGAMA ISLAM
EN. SHAIFUL AZA AB HAMID PN SITI HUSNA BT ROZALI PN. WAN HALIMAH
OLAHRAGA PBSM MATEMATIK
PN NURUL AZLIN ZANI TN HAJI ABDUL ROHIM PN. NORSIHA IDRIS
SAINS
BADMINTON
TUNAS PUTERI
PN NOR HAZRINA PN.AZIZAH BINTI ARSAT PN ROSNANI BT KAMRI
SEPAK TAKRAW
PENCEGAH JENAYAH
TN.HAJI ABDUL ROHIM PN. NUR FATIMAH RAZALI
BOLA TAMPAR KEJARA
EN.MOHD KAMARUDDIN PN NURUL AZLIN ZANI
PING PONG RUKUN NEGARA
X PN. KHAIRUL ISHAM
RAGBI ALAM SEKITAR
TN. HJ. KHAIRUL ISHAM PN. NOORASHIKIN BT ROMLY
HOKI SPBT
CIK NADRAH BINTI NOH PN. SITI HUSNA BT RAZALI
DOKTOR MUDA
PN.EDAHAYATI MOHD IRDIS
SKBP....Menyempurnakan Kecemerlangan Masa Hadapan 116

