Page 513 - Final e Prosiding Serai 2021
P. 513
Seminar Penyelidikan dan Pertandingan Inovasi Peringkat Antarabangsa (Serai) 2021
21-22 September 2021
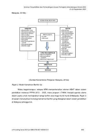
Malaysia, 2012b);
(Sumber:Kementerian Pelajaran Malaysia, 2012a)
Rajah 2. Model Kemahiran Berfikir (b)
Walau bagaimanapun, selepas KPM memperkenalkan elemen KBAT dalam sistem
pendidikan menerusi PPPM 2013 – 2025, maka program i-THINK menjadi agenda utama
dalam usaha untuk meningkatkan tahap berfikir aras tinggi murid-murid di Malaysia. Rajah 3
di bawah menunjukkan kronologi kemahiran berfikir yang diterapkan dalam sistem pendidikan
di Malaysia sehingga kini.
e-Prosiding Serai 2021/e-ISBN 978-967-19359-3-4 495

