Page 108 - Buku Pengurusan SMKMN 2021
P. 108
88
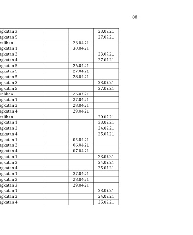
23.05.21 27.05.21 23.05.21 27.05.21 23.05.21 27.05.21 20.05.21 23.05.21 24.05.21 25.05.21 23.05.21 24.05.21 25.05.21 23.05.21 24.05.21 25.05.21
26.04.21 30.04.21 26.04.21 27.04.21 28.04.21 26.04.21 27.04.21 28.04.21 29.04.21 05.04.21 06.04.21 07.04.21 27.04.21 28.04.21 29.04.21
Tingkatan 3 Tingkatan 5 Peralihan Tingkatan 1 Tingkatan 2 Tingkatan 4 Tingkatan 5 Tingkatan 5 Tingkatan 5 Tingkatan 3 Tingkatan 5 Peralihan Tingkatan 1 Tingkatan 2 Tingkatan 4 Peralihan Tingkatan 1 Tingkatan 2 Tingkatan 4 Tingkatan 1 Tingkatan 2 Tingkatan 4 Tingkatan 1 Tingkatan 2 Tingkatan 4 Tingkatan 1 Tingkatan 2 Tingkatan 3 Tingkatan 1 Tingkatan 2 Tingkatan 4
Pendidikan Islam PJPK Fizik Kimia Biologi Pendidikan Moral Bahasa Melayu Bahasa Inggeris Bahasa Cina Sejarah Geografi Pendidikan Islam
PK Kokurikulum PK Petang GK Bahasa GK Kemanusiaan

