Page 38 - demo
P. 38
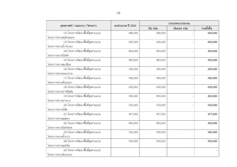
-24-
ประเภทงบประมาณ
ยุทธศาสตร์ / แผนงาน / โครงการ งบประมาณ ปี 2565
เงิน งปม. เงินนอก งปม. รวมทั้งสิ้น
12) โครงการพัฒนาพื้นที่สูงตามแบบ 640,000 640,000 - 640,000
โครงการหลวงแม่สามแลบ
13) โครงการพัฒนาพื้นที่สูงตามแบบ 600,000 600,000 - 600,000
โครงการหลวงถ้ำเวียงแก
14) โครงการพัฒนาพื้นที่สูงตามแบบ 450,000 450,000 - 450,000
โครงการหลวงโป่งคำ
15) โครงการพัฒนาพื้นที่สูงตามแบบ 450,000 450,000 - 450,000
โครงการหลวงสะเนียน
16) โครงการพัฒนาพื้นที่สูงตามแบบ 200,000 200,000 - 200,000
โครงการหลวงคลองลาน
17) โครงการพัฒนาพื้นที่สูงตามแบบ 580,000 580,000 - 580,000
โครงการหลวงห้วยเขย่ง
18) โครงการพัฒนาพื้นที่สูงตามแบบ 650,000 650,000 - 650,000
โครงการหลวงปางหินฝน
19) โครงการพัฒนาพื้นที่สูงตามแบบ 450,000 450,000 - 450,000
โครงการหลวงปางยาง
20) โครงการพัฒนาพื้นที่สูงตามแบบ 550,000 550,000 - 550,000
โครงการหลวงวังไผ่
21) โครงการพัฒนาพื้นที่สูงตามแบบ 417,000 417,000 - 417,000
โครงการหลวงแม่สอง
22) โครงการพัฒนาพื้นที่สูงตามแบบ 450,000 450,000 - 450,000
โครงการหลวงโหล่งขอด
23) โครงการพัฒนาพื้นที่สูงตามแบบ 500,000 500,000 - 500,000
โครงการหลวงน้ำแป่ง
24) โครงการพัฒนาพื้นที่สูงตามแบบ 550,000 550,000 - 550,000
โครงการหลวงแม่จริม
25) โครงการพัฒนาพื้นที่สูงตามแบบ - - - -
โครงการหลวงส่วนกลาง

