Page 30 - BUKU PENGURUSAN 2021
P. 30
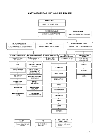
CARTA ORGANISASI UNIT KOKURIKULUM 2021
PENGETUA
EN JAFFRY BIN A. AZIZ
PK KOKURIKULUM SETIAUSAHA
EN REDUAN BIN ARSHAD Ustazah Hajah Aida Binti Mohamad
PK PENTADBIRAN PK HEM PKPENDIDIKAN KHAS
EN SHAMSULBAHARI BIN KAMIN EN ABD HAFIZ BIN OTHMAN EN AIZUL FADLY BIN KAMARUDIN
SUKAN
BADAN BERUNIFORM KELAB & PERSATUAN SUKAN & PERMAINAN KECEMERLANGAN SUKAN UNTUK
SEMUA
Ustazah Siti Hajar Pn Shanmugapriya En Mohd Hafiz En Mohd Zaki Bin Ajer En Mohd Hafiz
Binti Rahman a/p Devan Bin Kamaruddin Bin Kamaruddin
KRS BAHASA & RUKUN OMEGA
NEGARA
OLAHRAGA
KADET BOMBA KITAR SEMULA, GAMMA
KOPERASI &
KEPENGGUNAAN BOLA SEPAK
PENGAKAP PENDIDIKAN ISLAM ALPHA
& SEJARAH BOLA JARING
BULAN SABIT SAINS &
MERAH
MATEMATIK
HOKI
KADET JPJ BIMBINGAN &
KERJAYA
SEPAKTAKRAW
PENGAKAP PEND PERSATUAN
KHAS PENDIDIKAN KHAS MEMANAH
RAGBI
JUDO
BOWLING
PAJSK TID LIGA KPM/ SSN
CHALLENGE
Ustazah Hajah Aida Binti En Mohd Hafiz Bin En Mohd Shah Erwan Bin
Mohamad Kamaruddin Mashoor
29

