Page 119 - รายงานประจำปี 2563 สหกรณ์ออมทรัพย์กรมวิทยาศาสตร์การแพทย์ จำกัด
P. 119
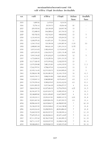
สหกรณออมทรัพยกรมวิทยาศาสตรการแพทย จํากัด
รายได คาใชจาย กําไรสุทธิ อัตราเงินปนผล อัตราเงินเฉลี่ยคืน
พ.ศ. รายได คาใชจาย กําไรสุทธิ เงินปนผล เงินเฉลี่ยคืน
รอยละ รอยละ
2525 5,895.56 1,679.00 4,216.56 - -
2526 72,796.16 29,759.72 43,036.44 12 -
2527 245,033.56 120,186.18 124,847.38 13 -
2528 572,088.93 304,388.60 267,700.33 12 -
2529 920,782.92 452,762.10 468,020.82 13 3
2530 1,124,443.41 491,239.08 633,204.33 12 4
2531 1,328,374.26 616,851.24 711,523.02 11 -
2532 1,764,173.02 729,785.58 1,034,387.44 11.25 3.5
2533 2,485,815.24 944,601.04 1,541,214.20 12.75 -
2534 3,657,610.63 1,482,640.64 2,174,969.99 13 5
2535 4,257,225.23 1,926,050.75 2,331,174.48 12.5 -
2536 5,949,106.29 2,781,252.29 3,167,854.00 12 3
2537 6,723,434.56 3,132,283.36 3,591,151.20 12 -
2538 10,177,424.05 5,075,090.12 5,102,333.93 13 7
2539 13,979,359.88 7,485,255.89 6,494,103.99 13 5 , 3
2540 17,922,747.91 9,758,097.99 8,164,649.92 13 5
2541 22,943,116.40 12,379,032.75 10,564,083.65 13 5
2542 21,358,261.38 11,214,085.39 10,144,175.99 10 4 , 2
2543 18,463,769.71 9,842,349.46 8,621,420.25 7.5 6 , 3
2544 17,918,547.12 9,342,883.45 8,575,663.67 6.5 6 , 3
2545 19,790,555.64 9,349,143.63 10,441,412.01 6.5 8 , 4
2546 19,991,803.25 9,037,546.18 10,954,257.07 6 8 , 4
2547 24,060,509.32 10,327,434.39 13,733,074.93 6.25 10 , 5
2548 26,944,447.74 12,659,104.73 14,285,343.01 6 10 , 5
2549 35,188,805.82 20,521,450.85 14,667,354.97 6 10 , 5
2550 42,129,215.11 23,294,047.41 18,835,167.70 6.25 14 , 8
2551 43,901,067.00 22,803,866.30 21,097,200.70 6.5 12 , 6
2552 48,386,666.59 22,003,862.75 26,382,803.84 7 12 , 10
2553 51,154,507.03 23,992,308.65 27,162,198.38 7 10 , 8
2554 61,463,416.60 33,158,530.51 28,304,886.09 7 10 , 8
2555 70,269,532.53 40,030,937.37 30,238,595.16 7 12 , 10
2556 77,697,670.19 42,350,500.32 35,347,169.87 7 14 , 12
2557 87,111,957.64 45,746,372.45 41,365,585.19 7 16 , 14
2558 94,711,110.37 50,503,097.99 44,208,012.38 7 18 , 16
2559 98,928,298.01 54,598,824.33 44,329,473.68 7 18 , 16
117

