Page 1397 - E-book ระเบียบ_compressed
P. 1397
- 250 -
1284
่
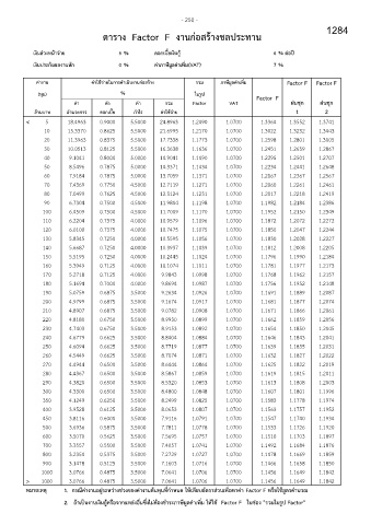
ตาราง Factor F งานกอสร้างชลประทาน
้
เงินล่วงหนาจ่าย 5 % ดอกเบี้ยเงินก ู้ 6 % ต่อปี
่
ี
ั
ิ่
่
เงินประกนผลงานหัก 0 % คาภาษมูลคาเพม(VAT) 7 %
ค่างาน ค่าใช้จ่ายในการด าเนินงานก่อสร้าง รวม ภาษมูลค่าเพม Factor F Factor F
ี
ิ่
(ทุน) % ในรูป Factor F
ค่า ค่า ค่า รวม Factor VAT ฝนชุก ฝนชุก
ล้านบาท อ านวยการ ดอกเบี้ย ก าไร ค่าใช้จ่าย 1 2
< 5 18.4963 0.9000 5.5000 24.8963 1.2490 1.0700 1.3364 1.3552 1.3741
10 15.3370 0.8625 5.5000 21.6995 1.2170 1.0700 1.3022 1.3232 1.3443
20 11.3963 0.8375 5.5000 17.7338 1.1773 1.0700 1.2598 1.2801 1.3005
30 10.0513 0.8125 5.5000 16.3638 1.1636 1.0700 1.2451 1.2659 1.2867
40 9.1041 0.8000 5.0000 14.9041 1.1490 1.0700 1.2295 1.2501 1.2707
50 8.5496 0.7875 5.0000 14.3371 1.1434 1.0700 1.2234 1.2441 1.2648
60 7.9184 0.7875 5.0000 13.7059 1.1371 1.0700 1.2167 1.2367 1.2567
70 7.4369 0.7750 4.5000 12.7119 1.1271 1.0700 1.2060 1.2261 1.2461
80 7.0499 0.7625 4.5000 12.3124 1.1231 1.0700 1.2017 1.2218 1.2419
90 6.7304 0.7500 4.5000 11.9804 1.1198 1.0700 1.1982 1.2184 1.2386
100 6.4509 0.7500 4.5000 11.7009 1.1170 1.0700 1.1952 1.2150 1.2349
110 6.2204 0.7375 4.0000 10.9579 1.1096 1.0700 1.1872 1.2072 1.2272
120 6.0100 0.7375 4.0000 10.7475 1.1075 1.0700 1.1850 1.2047 1.2244
130 5.8345 0.7250 4.0000 10.5595 1.1056 1.0700 1.1830 1.2028 1.2227
140 5.6687 0.7250 4.0000 10.3937 1.1039 1.0700 1.1812 1.2008 1.2205
150 5.5195 0.7250 4.0000 10.2445 1.1024 1.0700 1.1796 1.1990 1.2184
160 5.3949 0.7125 4.0000 10.1074 1.1011 1.0700 1.1781 1.1977 1.2173
170 5.2718 0.7125 4.0000 9.9843 1.0998 1.0700 1.1768 1.1962 1.2157
180 5.1694 0.7000 4.0000 9.8694 1.0987 1.0700 1.1756 1.1952 1.2148
190 5.0759 0.6875 3.5000 9.2634 1.0926 1.0700 1.1691 1.1889 1.2087
200 4.9799 0.6875 3.5000 9.1674 1.0917 1.0700 1.1681 1.1877 1.2074
210 4.8907 0.6875 3.5000 9.0782 1.0908 1.0700 1.1671 1.1866 1.2061
220 4.8180 0.6750 3.5000 8.9930 1.0899 1.0700 1.1662 1.1859 1.2056
230 4.7403 0.6750 3.5000 8.9153 1.0892 1.0700 1.1654 1.1850 1.2045
240 4.6779 0.6625 3.5000 8.8404 1.0884 1.0700 1.1646 1.1843 1.2041
250 4.6094 0.6625 3.5000 8.7719 1.0877 1.0700 1.1639 1.1835 1.2031
260 4.5449 0.6625 3.5000 8.7074 1.0871 1.0700 1.1632 1.1827 1.2022
270 4.4944 0.6500 3.5000 8.6444 1.0864 1.0700 1.1625 1.1822 1.2019
280 4.4367 0.6500 3.5000 8.5867 1.0859 1.0700 1.1619 1.1815 1.2011
290 4.3820 0.6500 3.5000 8.5320 1.0853 1.0700 1.1613 1.1808 1.2003
300 4.3300 0.6500 3.5000 8.4800 1.0848 1.0700 1.1607 1.1801 1.1996
350 4.1249 0.6250 3.5000 8.2499 1.0825 1.0700 1.1583 1.1778 1.1974
400 3.9528 0.6125 3.5000 8.0653 1.0807 1.0700 1.1563 1.1757 1.1952
450 3.8116 0.6000 3.5000 7.9116 1.0791 1.0700 1.1547 1.1740 1.1934
500 3.6936 0.5875 3.5000 7.7811 1.0778 1.0700 1.1533 1.1726 1.1920
600 3.5070 0.5625 3.5000 7.5695 1.0757 1.0700 1.1510 1.1703 1.1897
700 3.3557 0.5500 3.5000 7.4057 1.0741 1.0700 1.1492 1.1684 1.1876
800 3.2354 0.5375 3.5000 7.2729 1.0727 1.0700 1.1478 1.1669 1.1859
900 3.1478 0.5125 3.5000 7.1603 1.0716 1.0700 1.1466 1.1658 1.1850
1000 3.0766 0.4875 3.5000 7.0641 1.0706 1.0700 1.1456 1.1649 1.1842
> 1000 3.0766 0.4875 3.5000 7.0641 1.0706 1.0700 1.1456 1.1649 1.1842
หมายเหตุ 1. กรณีค่างานอยู่ระหว่างช่วงของค่างานต้นทุนที่ก าหนด ให้เทียบอัตราส่วนเพื่อหาค่า Factor F หรือใช้สูตรค านวณ
2. ถ้าเป็นงานเงินกู้หรือจากแหล่งอื่นซึ่งไม่ต้องช าระภาษีมูลค่าเพิ่ม ให้ใช้ Factor F ในช่อง "รวมในรูป Factor"

