Basic HTML Version
Table of Contents
View Full Version
Page 585 - E-book ระเบียบ_compressed
P. 585
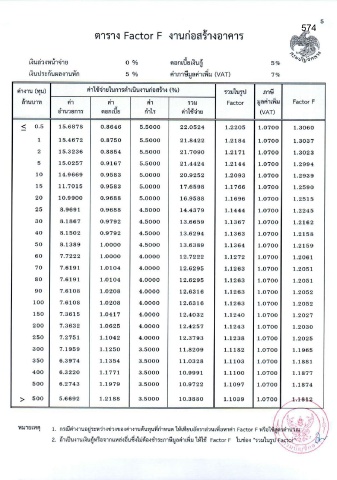
574
580
581
582
583
584
585
586
587
588
589
590