Basic HTML Version
Table of Contents
View Full Version
Page 620 - E-book ระเบียบ_compressed
P. 620
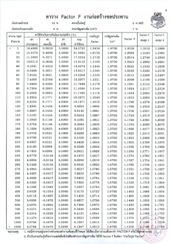
609
615
616
617
618
619
620
621
622
623
624
625