Page 82 - Template Tesis UTM v2.0
P. 82
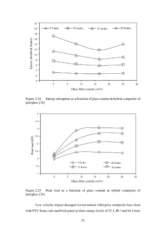
5 Joules 10 Joules 15 Joules 20 Joules
Energy absorbed (Joules)
Glass fibre content (wt%)
Figure 2.24 Energy absorption as a function of glass content in hybrid composite of
jute/glass [34]
Peak load (kN)
5 Joules 10 Joules
15 Joules 20 Joules
Glass fiber content (wt%)
Figure 2.25 Peak load as a function of glass content in hybrid composite of
jute/glass [34]
Low velocity impact damaged woven natural silk/epoxy composite face-sheet
with PVC foam core sandwich panel at three energy levels of 32 J, 48 J and 64 J were
53

