Page 4 - 2020 K1 HIMPUNAN 2004-2019 (JAWAPAN)Ikut bab(Pn.Hanita) T5 B4
P. 4
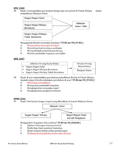
SPM 2008
28 Rajah 3 menunjukkan pernyataan ketiga-tiga unit politik di Tanah Melayu dalam
pentadbiran Malayan Union.
Negeri-Negeri Selat
Negeri-Negeri Melayu Malayan
Bersekutu Union 1946
Negeri-Negeri Melayu
Tidak Bersekutu
Mengapakah British bertindak demikian? T5 B4 ms 95 [ P3 B2 ]
A Menjimatkan kewangan kerajaan
B Memelihara hak istimewa peribumi
C Memperkukuh pemerintahan beraja
D Melatih penduduk tempatan mentadbir
SPM 2007
Sebelum Perang Dunia Kedua Selepas Perang
Negeri-Negeri Selat Dunia Kedua
Negeri-Negeri Melayu Bersekutu Malayan Union
Negeri-Negeri Melayu Tidak Bersekutu
28 Rajah di atas menunjukkan perubahan pentadbiran British di Tanah Melayu.
Apakah tujuan British melakukan perubahan di atas? T5 B4 ms 95 [ P3 B1 ]
A Melicinkan pentadbiran
B Memajukan penduduk tempatan
C Menghapuskan sempadan negeri
D Menghapuskan pengaruh komunis
SPMU 2016
29 Rajah 2 berkaitan dengan negeri yang diletakkan di bawah Malayan Union.
Malayan Union
Negeri-Negeri Melayu Negeri-Negeri Selat
kecuali Singapura
Mengapakah Singapura dikecualikan? T5 B4 ms 96 [ RAJAH ]
A Sumber kewangan kerajaan terhad
B Majlis Raja-Raja membuat bantahan
C Kaum imigran melancarkan penentangan
D Bimbang taraf pelabuhan bebas akan terjejas
Pn.Hanita binti Ahmad SMK Seri Raub,Raub Pahang 181

