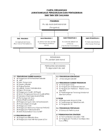
Page 37 - PENTABDIR SEKOLAH
P. 37
CARTA ORGANISASI
JAWATANKUASA PENGURUSAN DAN PENTADBIRAN
SMK TMN SERI SAUJANA
PENGERUSI
Pn. Hjh Asiah binti Mohd Uzir
(Pengetua)
TIMB. PENGERUSI NAIB PENGERUSI 1 NAIB PENGERUSI 2 NAIB PENGERUSI 3
Cik Sarimah binti Saim En Azman bin Abd Hamid Tn Hj Mohd. Zaman bin Pn Zalina binti Mahad
(Pen. Kanan Pentadbiran) (Pen. Kanan Hal Ehwal A.Wahab ( Pen Kanan Petang)
Murid) ( Pen Kanan Kokurikulum)
SETIAUSAHA
Pn Jamilah binti Mohd
PENOLONG SETIAUSAHA
Pn Arjuna binti Ab Jalil
2.1 PENGURUSAN SUMBER MANUSIA 2.3 PENGURUSAN KEWANGAN
JK Pengurusan &Pentadbiran Sekolah JK Kewangan Sekolah
JK AKP
JK Buku Pengurusan 2.4 PENGURUSAN SUMBER PENDIDIKAN
JK Takwim Sekolah JK Penetapan Kelas
JK Dialog Prestasi JK Pengurusan Maklumat Sekolah
JK Latihan Dalam Perkhidmatan JK Pengurusan Penilaian Prestasi Guru
JK Kajian Tindakan dan Staf
JK Pengurusan Kualiti (SKPMg2) JK Pembangunan Teknologi Maklumat
JK Sistem Pengurusan Sekolah Kualiti (SPSK) dan Komunikasi
JK Semakan Hasil Kerja Murid (PK06)
JK Pembangunan Guru 2,5 IKLIM
Baharu/Praktikum/ROS JK Pengurusan Aduan & Krisis
JK Pengurusan guru dan staf bermasalah JK Pembangunan Fizikal Sekolah
JK Perancangan Strategik JK Pengurusan 3K
JK Pengurusan KGK
JK Pengurusan Bencana /Operasi PAYUNG 2.6 PENGURUSAN PERPADUAN
JK Pengurusan Pekerja Swasta JK Siaraya & Perhimpunan
JK Data Keberadaan Guru & AKP
2.7 PERMUAFAKATAN STRATEGIK
2.2 PENGURUSAN ASET
JK Pengurusan Bilik-bilik Khas JK Permuafakatan Sekolah / PIBK
JK Pengurusan Aset Alih Kerajaan & Stor JK Pengurusan Persatuan Ibu Bapa dan
Guru (PIBG)
36

