Page 216 - 6. math 31001
P. 216

209



                                                  0
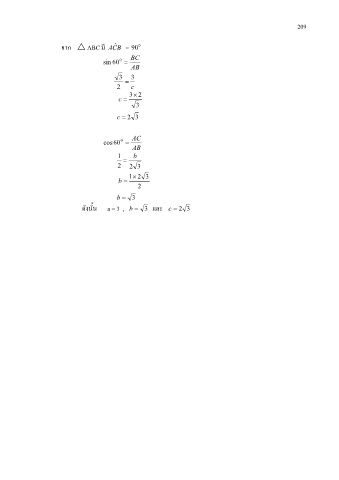
                       จาก     ABC มี  CA  ˆ B   = 90
                                               BC
                                     sin  60  0  
                                               AB
                                               3
                                              3  
                                          2    c
                                              3  2
                                                c
                                                 3

                                          c
                                                 2  3


                                               AC
                                     cos 60  0  
                                               AB
                                                1    b
                                          2   2  3
                                              1  2  3
                                                
                                           b
                                                 2
                                                 3
                                          b
                                                            c
                                              b
                              ดังนั้น       a = 3  ,      3   และ      2  3
   211   212   213   214   215   216   217   218   219   220   221