Page 11 - Past Year
P. 11
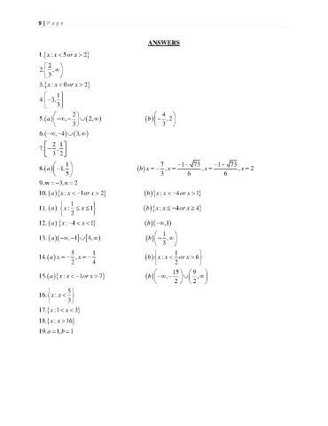
9 | P a g e
ANSWERS
1. :x x 5or x 2
2
2. 3 ,
3. :x x 0or x 2
1
4. 3, 3
2 4
5. a , 2, b ,2
3 3
6. , 4 3,
2 1
7. 3 2 ,
1 7 1 73 1 73
8. a 1, b x , x , x , x 2
5 3 6 6
9.m 3,n 2
10. :a x x 1or x 2 :b x x 4or x 1
1
11. a : x x 1 :b x x 4or x 4
2
x
b
12. : 4a x 1 ,1
13. a , 1 4, b 1 ,
3
5 1 1
14. a x , x b : x x or x 6
2 4 2
15 9
15. :a x x 1or x 7 b , ,
2 2
16. x x 5
:
3
17. :1x x 3
18. :x x 16
19.a 1,b 1

