Page 18 - Issue 13 Goole vs thackley.cdr
P. 18
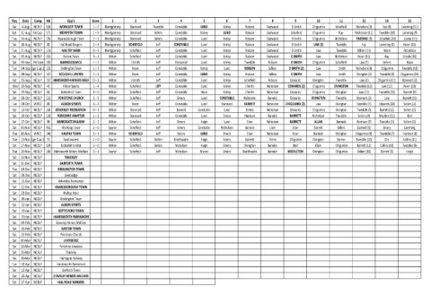
Day Date Comp A Opp's Score 1 2 3 4 5 6 7 8 9 10 11 12 14 15
Sat 4-Aug NCELP 336 WORKSOP TOWN 1 – 2 Montgomery Stannard Tweddle Constable LUND Varley Robson Eastwood O Smith Chigumira Schofield Nicholson (3) Kay (9) Lamming (11)
Sat 11-Aug FA Cup 171 MORPETH TOWN 1 – 5 Montgomery Stannard Sellers Constable Varley LUND Robson Eastwood Schofield Chigumira Kay Nicholson (11) Tweddle (10) Lamming (9)
Tue 14-Aug NCELP 156 Knaresborough Town 2 – 1 Montgomery Stannard Sellers Constable Lund Varley Robson Eastwood O Smith Chigumira Nicholson TWEDDLE (9) Schofield (10) Carter (11)
Sat 18-Aug NCELP 85 Hall Road Rangers 2 – 4 Montgomery SCHOFIELD Jeff CONSTABLE Lund Varley Robson Eastwood O Smith LAW (2) Tweddle Kay Lamming (9) Noon (11)
Tue 21-Aug NCELP 126 MALTBY MAIN 0 – 3 Montgomery Schofield Jeff Constable Lund Varley Robson Eastwood O Smith Law Tweddle Wilton (11) Noon Nicholson
Sat 25-Aug NCELP 152 Barton Town 3 – 1 Wilton Schofield Jeff Constable Lund Varley Robson Eastwood O SMITH Law Nicholson Noon (11) Kay Crooks (10)
Sat 01-Sep FA Vase 100 BARNOLDSWICK 1 – 2 Wilton J Smith Jeff Eastwood Lund Varley Tweddle Robson O SMITH Chigumira Schofield Law (7) Sellers Noon
Tue 04-Sep Lge Cup 2 135 Bridlington Town 1 – 3 Wilton Noon Jeff Constable Varley Lund ROBSON Sellers O SMITH (2) Law Smith Nicholson (8) Chigumira Tweddle (10)
Sat 08-Sep NCELP 167 ECCLESHILL UNITED 2 – 4 Wilton Noon Jeff Constable LUND Varley Robson Sellers O SMITH Law Smith Ovington (2) Tweddle (8) Chigumira (10)
Sat 15-Sep NCELP 157 HEMSWORTH MINERS WELF 0 – 2 Wilton J Smith Jeff Constable Lund Varley Schofield Robson Edwards Ovington Tweddle Law (4) Chigumira (11) Stannard (2)
Wed 26-Sep NCELP 45 Albion Sports 1 – 4 Wilton Schofield JEFF Constable Lund Varley J Smith Nicholson EDWARDS (2) Chigumira OVINGTON Tweddle (11) Law (12) Noon (10)
Sat 29-Sep NCELP 66 Bo esford Town 4 – 0 Wilton Schofield Jeff Constable Noon Varley J Smith Nicholson Edwards Chigumira Ovington Law (11) Tweddle (10) Barre (9)
Sat 06-Oct NCELP 132 PENISTONE CHURCH 2 – 5 Wilton Schofield Jeff Emery Lund CONSTABLE Nicholson Barwick Edwards OVINGTON Tweddle Stannard (2) Law Barre (11)
Tue 09-Oct WRCC 89 ALBION SPORTS 3 – 3 Wilton Noon Jeff Constable Lund Stannard BARRETT Nicholson CHIGUMIRA (2) Law Ovington Tweddle (7) Edwards (10) Sellers (2)
Sat 13-Oct NCELP 143 ATHERSLEY RECREATION 0 – 3 Wilton Stannard Jeff Barwick Constable Lund Emery Nicholson Edwards Chigumira Ovington Tweddle (5) Barre (11) Sellers (2)
Sat 20-Oct NCELP 136 YORKSHIRE AMATEUR 1 – 2 Wilton Stannard Jeff Constable Lund Emery Harrison Barwick BARRETT Nicholson Tweddle Sellers (4) Murden (11) Bird
Sat 27-Oct NCELP 98 HARROGATE RAILWAY 2 – 2 Wilton Schofield Jeff Emery Haigh Lund Elam Nicholson BARRETT ALLAN Barwick Harrison (7) Tweddle (5) Sellers (3)
Sat 03-Nov NCELP 352 Worksop Town 2 – 0 Saynor Schofield Jeff Emery Constable Nicholson Barwick Elam Allan Barre Sellers Dunne (5) Emery Lamming
Tue 06-Nov WRCC 140 HALIFAX TOWN 3 – 3 Wilton SCHOFIELD Jeff Sellers LUND Emery Elam Nicholson Allan Barwick Ovington Chigumira (9) Tweddle (7) Harrison (8)
Tue 13-Nov Lge Cup 3 73 Swallownest 1 – 0 Saynor Schofield Sellers Braithwaite Haigh Emery Barre Vieira Chigumira Ovington Barnes Tweddle (10) Dry Collins (11)
Sat 17-Nov NCELP 104 Eccleshill United 5 – 0 Wilton Schofield Sellers Nicholson Haigh Emery Ovington Barwick Blair Elam Chigumira Barre (11) Collins (10) Tweddle (8)
Tue 20-Nov NCELP 146 Hemsworth Miners Welfare 5 – 1 Saynor Schofield Jeff Nicholson Mycoe Emery Braithwaite Barwick MIDDLETON Ovington Chigumira Sellers (10) Barre (9) Haigh
Sat 24-Nov NCELP THACKLEY
Sat 01-Dec NCELP GARFORTH TOWN
Tue 04-Dec NCELP BRIDLINGTON TOWN
Sat 08-Dec NCELP Liversedge
Sat 15-Dec NCELP Athersley Recrea on
Sat 22-Dec NCELP KNARESBOROUGH TOWN
Sat 29-Dec NCELP Maltby Main
Sat 05-Jan NCELP Bridlington Town
Sat 12-Jan NCELP ALBION SPORTS
Sat 19-Jan NCELP BOTTESFORD TOWN
Sat 26-Jan NCELP HANDSWORTH PARRAMORE
Sat 09-Feb NCELP Staveley Miners Welfare
Sat 16-Feb NCELP BARTON TOWN
Sat 23-Feb NCELP Pensitone Church
Sat 02-Mar NCELP LIVERSEDGE
Sat 16-Mar NCELP Yorkshire Amateur
Sat 23-Mar NCELP Thackley
Sat 30-Mar NCELP Harrogate Railway
Tue 02-Apr NCELP Handsworth Parramore
Sat 13-Apr NCELP Garforth Town
Sat 20-Apr NCELP STAVELEY MINERS WELFARE
Sat 27-Apr NCELP HALL ROAD RANGERS

