Page 135 - Buku Manual Pengurusan 20222023 smidin
P. 135

Manual Pengurusan Sekolah 2022/2023



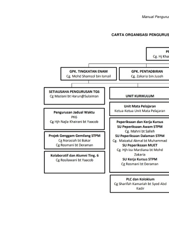
                                                         CARTA ORGANISASI PENGURUSAN TINGKATAN ENAM 2022/2023
   130   131   132   133   134   135   136   137   138   139   140