Page 767 - Quicksilver Product Guide (2020) - 8M0163242
P. 767
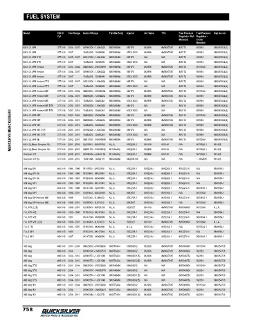
FUEL SYSTEM
Model CID/ # Year Range Serial # Range Throttle Body Injector IAC Valve TPS Fuel Pressure Fuel Pressure Map Sensor
Cyl Regulator -Rail Regulator -
Mounted Cooler
Mounted
MX 6.2L MPI 377/ V-8 2004 - 2007 0W060000 - 1A064824 8M0096994 885176 862998 8M0097035 885174 892681 8M0087834(3)
MX 6.2L MPI 377/ V-8 2007 1A064825 - 1A299999 8M0096994 879312003 862998 8M0097035 885174 892681 8M0087834(3)
MX 6.2L MPI DTS 377/ V-8 2005 - 2007 0W310000 - 1A064824 8M0046460 885176 N/A N/A 885174 892681 8M0087834(3)
MX 6.2L MPI DTS 377/ V-8 2007 1A064825 - 1A299999 8M0046460 879312003 N/A N/A 885174 892681 8M0087834(3)
MX 6.2L MPI Horizon 377/ V-8 2002 - 2004 0M300000 - 0W059999 8M0096994 885176 862998 8M0097035 885174 861126A 1 8M0087834(3)
MX 6.2L MPI Horizon 377/ V-8 2004 - 2007 0W060000 - 1A064824 8M0096994 885176 862998 8M0097035 885174 892681 8M0087834(3)
MX 6.2L MPI Horizon 377/ V-8 2007 1A064825 - 1A299999 8M0096994 879312003 862998 8M0097035 885174 892681 8M0087834(3)
MX 6.2L MPI Horizon DTS 377/ V-8 2005 - 2007 0W310000 - 1A064824 8M0046460 885176 N/A N/A 885174 892681 8M0087834(3)
MX 6.2L MPI Horizon DTS 377/ V-8 2007 1A064825 - 1A299999 8M0046460 879312003 N/A N/A 885174 892681 8M0087834(3)
MX 6.2L MPI Horizon MIE 377/ V-8 2002 - 2004 0M300000 - 0M398394 8M0096994 885176 862998 8M0097035 885174 861126A 1 8M0087834(3)
MX 6.2L MPI Horizon MIE 377/ V-8 2004 - 2007 0M398395 - 1A064824 8M0096994 885176 862998 8M0097035 885174 892681 8M0087834(3)
MX 6.2L MPI Horizon MIE 377/ V-8 2007 - 2015 1A064825 - 2A455246 8M0096994 879312003 862998 8M0097035 885174 892681 8M0087834(3)
MX 6.2L MPI Horizon MIE DTS 377/ V-8 2005 - 2007 0W390000 - 1A064824 8M0046460 885176 N/A N/A 885174 892681 8M0087834(3)
N/A
377/ V-8
879312003
885174
2007 - 2015
892681
8M0046460
1A064825 - 2A455246
N/A
8M0087834(3)
MX 6.2L MPI Horizon MIE DTS
MERCURY® MERCRUISER® MX 6.2L MPI MIE 377/ V-8 2004 - 2007 0M398395 - 1A064824 8M0096994 885176 862998 8M0097035 885174 892681 8M0087834(3)
862998
8M0097035
8M0096994
885174
8M0087834(3)
377/ V-8
MX 6.2L MPI MIE
0M300000 - 0M398394
861126A 1
2002 - 2004
885176
879312003
377/ V-8
8M0096994
892681
2007 - 2015
1A064825 - 2A455246
MX 6.2L MPI MIE
8M0087834(3)
8M0097035
862998
885174
377/ V-8
0W390000 - 1A064824
2005 - 2007
N/A
885174
N/A
892681
8M0046460
MX 6.2L MPI MIE DTS
885176
8M0087834(3)
892681
885174
879312003
8M0046460
8M0087834(3)
N/A
1A064825 - 2A455246
N/A
377/ V-8
2007 - 2015
MX 6.2L MPI MIE DTS
861126A 1
377/ V-8
8M0087834(3)
MX 6.2L MPI Ski
885176
8M0096994
2002 - 2007
8M0097035
885174
862998
0M317000 - 0W689999
MX 6.2L Black Scorpion Ski
N/A
807952A 1
862998
805225A 1
803148
MX 6.2L Black Scorpion Ski
861425
2003 - 2007
0M391750 - 0W698432
377/ V-8
861484A02
862998
377/ V-8
2008 - 2015
N/A
803148
805225A 1
861425
807952A 1
861484A02
Scorpion 377 377/ V-8 2001 - 2003 0L005601 - 0M391599 N.L.A. 805225A 1 803149 803148 N/A 807952A 1 861425
0W698433 - 2A460138
Scorpion 377 EC 377/ V-8 2009 - 2010 1A091488 - 1A092170 8M0046460 8M2005198 N/A N/A N/A 10-882681 861425
454 Mag EFI 454/ V-8 1994 - 1996 0F115700 - 0F802349 N.L.A. 805225A 1 805224A 1 805226A 1 805227A 1 N/A 864856A 1
454 Mag EFI Ski 454/ V-8 1995 - 1996 0F215800 - 0F820099 N.L.A. 805225A 1 805224A 1 805226A 1 805227A 1 N/A 864856A 1
454 Mag EFI Ski 454/ V-8 1996 - 1997 0F820099 - 0K999999 N.L.A. 805225A 1 805224A 1 805226A 1 805227A 1 N/A 864856A 1
454 Mag MPI 454/ V-8 1996 - 1997 0F802350 - 0K147349 N.L.A. 805225A 1 805224A 1 805226A 1 805227A 1 N/A 864856A 1
454 Mag MPI 454/ V-8 1997 - 1998 0K147350 - 0L085399 N.L.A. 805225A 1 805224A 1 805226A 1 805227A 1 860349A 1 864856A 1
454 Mag MPI 454/ V-8 1999 - 2001 0L085400 - 0M024999 N.L.A. 861260T 805224A 1 805226A 1 N/A 861126A 1 864856A 1
454 Mag MPI Horizon MIE 454/ V-8 1998 0L002200 - 0L086049 N.L.A. 805225A 1 805224A 1 805226A 1 805227A 1 860349A 1 864856A 1
454 Mag MPI Horizon MIE 454/ V-8 1999 - 2001 0L086050 - 0L674000 N.L.A. 861260T 805224A 1 805226A 1 N/A 861126A 1 864856A 1
7.4L MPI (L29) 454/ V-8 1998 - 2001 0L010003 - 0M024330 N.L.A. 802632T 803149 8M0097035 8M0069803 861126A 1 N.L.A.
7.4L MPI MIE 454/ V-8 1995 - 1996 0F563052 - 0K147349 N.L.A. 805225A 1 805224A 1 805226A 1 805227A 1 N/A 864856A 1
7.4L MPI MIE 454/ V-8 1997 0K147350 - 0K999999 N.L.A. 805225A 1 805224A 1 805226A 1 805227A 1 860349A 1 864856A 1
7.4L MPI MIE (L29) 454/ V-8 1998 - 2001 0L010003 - 0L674613 N.L.A. 802632T 803149 8M0097035 8M0069803 861126A 1 N.L.A.
7.4LX TBI 454/ V-8 1996 - 1997 0F820000 - 0K999999 N.L.A. N.L.A. 805224A 1 805226A 1 N/A 807952A 1 864856A 1
7.4LX MPI 454/ V-8 1996 0F602010 - 0K147349 N.L.A. 805225A 1 805224A 1 805226A 1 805227A 1 N/A 864856A 1
7.4LX MPI 454/ V-8 1997 0K147350 - 0K999999 N.L.A. 805225A 1 805224A 1 805226A 1 805227A 1 860349A 1 864856A 1
496 Mag 496/ V-8 2001 - 2004 0M025000 - 0W059999 866576A04 881693002 862998 8M0097035 8M0069803 861126A 1 8M0054726
496 Mag 496/ V-8 2004 0W060000 - 0W060573 866576A04 881693002 862998 8M0097035 8M0069803 892681 8M0054726
496 Mag 496/ V-8 2004 - 2010 0W060574 - 1A351548 866576A04 881693001(5) 862998 8M0097035 8M0046753 892681 8M0054726
496 Mag 496/ V-8 2004 - 2010 0W060574 - 1A351548 866576A04 881693002(5) 862998 8M0097035 8M0046753 892681 8M0054726
496 Mag DTS 496/ V-8 2001 - 2004 0M025000 - 0W059999 8M0046460 881693002 N/A N/A 8M0069803 861126A 1 8M0054726
496 Mag DTS 496/ V-8 2004 0W060000 - 0W060573 8M0046460 881693002 N/A N/A 8M0069803 892681 8M0054726
496 Mag DTS 496/ V-8 2004 - 2010 0W060574 - 1A351548 8M0046460 881693001(5) N/A N/A 8M0046753 892681 8M0054726
496 Mag DTS 496/ V-8 2004 - 2010 0W060574 - 1A351548 8M0046460 881693002(5) N/A N/A 8M0046753 892681 8M0054726
496 Mag HO 496/ V-8 2001 - 2004 0M025000 - 0W059999 866577A04 881693002 862998 8M0097035 8M0069803 861126A 1 8M0054726
496 Mag HO 496/ V-8 2004 0W060000 - 0W060461 866577A04 881693002 862998 8M0097035 8M0069803 892681 8M0054726
496 Mag HO 496/ V-8 2004 - 2011 0W060462 - 1A352731 866577A04 881693001(5) 862998 8M0097035 8M0046753 892681 8M0054726
758

