Page 931 - LATIN AMERICA ACCESSORIES GUIDE (2019) English
P. 931
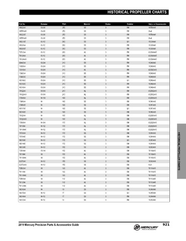
HISTORICAL PROPELLER CHARTS
Part No. Diameter Pitch Material Blades Rotation Status or Supersession
16322A4 13-3/8 25C SS 3 RH 16550A46
16550A46 13-3/8 25C SS 3 RH Avail.
16322A5 13-3/8 25C SS 3 RH 16550A46
16550A46 13-3/8 25C SS 3 RH Avail.
16321A5 13-1/2 23C SS 3 LH 16321A46
16320A4 13-1/2 23C SS 3 RH 16320A46
16320A5 13-1/2 23C SS 3 RH 16320A46
73512A4 13-1/2 23C AL 3 RH 832834A45
78124A4 13-1/2 23C AL 3 RH 832834A45
78124A40 13-1/2 23C AL 3 RH 832834A45
88442A4 13-3/4 21C SS 3 RH 16318A46
74268A4 13-3/4 21C SS 3 RH 16318A46
73510A4 13-3/4 21C AL 3 RH 832832A45
73982A4 13-3/4 21C SS 3 RH 16318A46
73982A5 13-3/4 21C SS 3 RH 16318A46
16319A5 13-3/4 21C SS 3 LH 16319A46
16318A5 13-3/4 21C SS 3 RH 16318A46
16318A4 13-3/4 21C SS 3 RH 16318A46
78122A4 13-3/4 21C AL 3 RH 832832A45
78122A40 13-3/4 21C AL 3 RH 832832A45
73508A4 14-1/4 19C AL 3 RH 832830A45
73980A4 14 19C SS 3 RH 16316A46
73980A5 14 19C SS 3 RH 16317A46
16317A5 14 19C SS 3 LH 16317A46
16316A5 14 19C SS 3 RH 16316A46
78120A4 14 19C AL 3 RH 832830A45
78120A40 14 19C AL 3 RH 832830A45
73506A4 14-3/4 17C AL 3 RH 832828A45
78118A4 14-1/2 17C AL 3 RH 832828A45
78118A40 14-1/2 17C AL 3 RH 832828A45
79794A4 14-1/2 17C SS 3 RH 16314A46
79794A5 14-1/2 17C SS 3 RH 16314A46
16315A5 14-1/2 17C SS 3 LH 16315A46
16314A5 14-1/2 17C SS 3 RH 16314A46
16312A5 14-1/2 15C SS 3 RH 16312A46
73504A4 15-1/4 15C AL 3 RH 78116A45 HISTORICAL PROPELLER CHARTS
78116A4 16 15C AL 3 RH 78116A45
78116A40 16 15C AL 3 RH 78116A45
93272A4 14-1/2 15C SS 3 RH 16312A46
93272A40 14-1/2 15C SS 3 RH NLA
73502A4 16 13C AL 3 RH 78114A45
78114A4 16 13C AL 3 RH 78114A45
78114A40 16 13C AL 3 RH 78114A45
73500A4 16 11C AL 3 RH 78112A45
78112A4 16 11C AL 3 RH 78112A45
78112A40 16 11C AL 3 RH 78112A45
16316A4 14 19 SS 3 RH 16316A46
16315A4 14-1/2 17 SS 3 LH 16315A46
16314A4 14-1/2 17 SS 3 RH 16314A46
16312A4 14-1/2 15 SS 3 RH 16312A46
2019 Mercury Precision Parts & Accessories Guide 921

