Page 17 - pdfcoffee.com_modul-kokurikulum-mbkpdf-pdf-free
P. 17
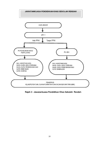
JAWATANKUASA PENDIDIKAN KHAS SEKOLAH RENDAH
GURU BESAR
GPK 1
Ada PPKI Tanpa PPKI
PK PENDIDIKAN KHAS/
PENYELARAS PK HEM
KELAB/PERSATUAN
AHLI JAWATANKUASA AHLI JAWATANKUASA
WAKIL GURU ARUS PERDANA WAKIL GURU ARUS PERDANA
WAKIL GURU PENDIDIKAN KHAS WAKIL GURU PENDIDIKAN KHAS
GURU BIMBINGAN GURU BIMBINGAN
GURU DISIPLIN
GURU DIDIPLIN
PENGERUSI
KELAB/PERSATUAN, SUKAN/PERMAINAN DAN BADAN BERUNIFORM (MBK)
Rajah 3 : Jawatankuasa Pendidikan Khas Sekolah Rendah
10

