Page 90 - เอกสารประกอบการประชุมวิชาการ ศูนย์วิจัยพืชไร่ขอนแก่น ประจำปี 2563 เล่มที่ 1
P. 90
85
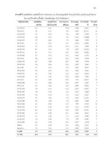
ตารางที่ 3 ผลผลิตอ้อย ผลผลิตน้ าตาล ค่าความหวาน จ านวนหลุมต่อไร่ จ านวนล าต่อไร่ และจ านวนล าต่อกอ
ในงานเปรียบเทียบเบื้องต้น: โคลนอ้อยชุด 2555 ในอ้อยตอ 1
พันธุ์/โคลนพันธ ุ์ ผลผลิตอ้อย ผลผลิตน าตาล ค่าความหวาน จ านวนหลุม จ านวนล าต่อ จ านวนล า
(ตัน/ไร่) (ตันน าตาล/ไร่) (ซีซีเอส) ต่อไร ่ ไร่ ต่อกอ
KK12R-076 6.0 0.21 11.8 1,185 8,217 7
KK12-072 9.5 0.21 4.4 1,600 21,511 14
KK12R-033 5.0 0.21 9.4 908 9,205 10
KK12R-062 6.8 0.21 9.6 1,541 10,884 7
KK12R-099 5.7 0.21 7.9 1,086 9,758 9
KK12-169 6.7 0.21 9.6 1,244 10,983 9
KK12R-094 2.2 0.25 10.6 1,211 5,082 4
KK12R-053 8.1 0.21 7.8 1,245 16,553 16
KK12R-061 3.2 0.21 13.2 1,560 10,983 7
KK12R-085 4.1 0.21 11.9 1,442 5,570 4
KK12-050 2.8 0.21 15.0 1,758 4,978 3
KK12R-175 2.7 0.25 12.7 856 5,704 6
KK12R-034 2.8 0.36 12.4 1,009 4,983 5
KK12-086 4.7 0.21 9.9 1,560 8,019 5
KK12R-090 4.3 0.21 12.2 1,225 9,422 7
KK12R-031 5.6 0.36 11.0 1,413 8,202 5
KK12R-186 5.5 0.25 13.9 1,182 7,896 7
KK12-131 4.3 0.25 16.3 915 10,267 13
KK12R-342 3.1 0.25 14.6 1,537 6,267 5
KK12-103 5.6 0.25 14.0 1,389 8,252 7
KK12R-050 7.8 0.21 11.3 1,541 13,491 9
KK12R-087 7.8 0.36 6.6 1,413 9,388 6
KK12R-059 3.9 0.25 9.6 1,122 6,267 5
KK12R-057 9.2 0.36 9.5 1,590 11,106 7
KK12R-088 8.3 0.36 5.3 1,887 4,588 2
KK12R-082 3.6 0.36 11.9 879 9,150 10
KK12R-022 5.7 0.36 11.8 1,116 11,995 11
KK12R-038 8.6 0.36 12.8 1,590 13,180 8
KK12R-080 6.6 0.25 10.1 1,656 8,222 5
KK12R-070 3.1 0.36 5.1 1,116 4,943 4
KK12R-251 1.9 0.36 7.4 939 6,780 7
KK12R-089 2.0 0.36 13.4 1,057 2,454 1
K88-92 5.5 0.25 12.2 1,508 6,415 4
ขอนแก่น 3 7.6 0.16 11.9 1,585 8,093 5
ค่าเฉลี่ย 5.3 0.55 10.8 1,320 8,789 7
CV (%) 43.4 64.4 32.7 25.6 31.8 43.6

