Page 48 - 2.DRAF PERTAMA BUKU PANDUAN PENTADBIRAN DAN PENGURUSAN _2020
P. 48
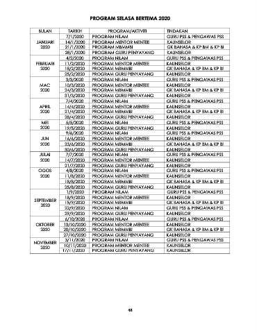
PROGRAM SELASA BERTEMA 2020
BULAN TARIKH PROGRAM/AKTIVITI TINDAKAN
7/1/2020 PROGRAM NILAM GURU PSS & PENGAWAS PSS
JANUARI 14/1/2020 PROGRAM MENTOR MENTEE KAUNSELOR
2020 21/1/2020 PROGRAM MBMMBI GK BAHASA & KP BM & KP BI
28/1/2020 PROGRAM GURU PENYAYANG KAUNSELOR
4/2/2020 PROGRAM NILAM GURU PSS & PENGAWAS PSS
FEBRUARI 11/2/2020 PROGRAM MENTOR MENTEE KAUNSELOR
2020 18/2/2020 PROGRAM MBMMBI GK BAHASA & KP BM & KP BI
25/2/2020 PROGRAM GURU PENYAYANG KAUNSELOR
3/3/2020 PROGRAM NILAM GURU PSS & PENGAWAS PSS
MAC 10/3/2020 PROGRAM MENTOR MENTEE KAUNSELOR
2020 24/3/2020 PROGRAM MBMMBI GK BAHASA & KP BM & KP BI
31/3/2020 PROGRAM GURU PENYAYANG KAUNSELOR
7/4/2020 PROGRAM NILAM GURU PSS & PENGAWAS PSS
APRIL 14/4/2020 PROGRAM MENTOR MENTEE KAUNSELOR
2020 21/4/2020 PROGRAM MBMMBI GK BAHASA & KP BM & KP BI
28/4/2020 PROGRAM GURU PENYAYANG KAUNSELOR
MEI 5/5/2020 PROGRAM NILAM GURU PSS & PENGAWAS PSS
2020 19/5/2020 PROGRAM GURU PENYAYANG KAUNSELOR
9/6/2020 PROGRAM NILAM GURU PSS & PENGAWAS PSS
JUN 16/6/2020 PROGRAM MENTOR MENTEE KAUNSELOR
2020 23/6/2020 PROGRAM MBMMBI GK BAHASA & KP BM & KP BI
30/6/2020 PROGRAM GURU PENYAYANG KAUNSELOR
JULAI 7/7/2020 PROGRAM NILAM GURU PSS & PENGAWAS PSS
2020 14/7/2020 PROGRAM MENTOR MENTEE KAUNSELOR
21/7/2020 PROGRAM GURU PENYAYANG KAUNSELOR
OGOS 4/8/2020 PROGRAM NILAM GURU PSS & PENGAWAS PSS
2020 11/8/2020 PROGRAM MENTOR MENTEE KAUNSELOR
18/8/2020 PROGRAM MBMMBI GK BAHASA & KP BM & KP BI
25/8/2020 PROGRAM GURU PENYAYANG KAUNSELOR
1/9/2020 PROGRAM NILAM GURU PSS & PENGAWAS PSS
18/9/2020 PROGRAM MENTOR MENTEE KAUNSELOR
SEPTEMBER 15/9/2020 PROGRAM MBMMBI GK BAHASA & KP BM & KP BI
2020
22/9/2020 PROGRAM NILAM GURU PSS & PENGAWAS PSS
29/9/2020 PROGRAM GURU PENYAYANG KAUNSELOR
6/10/2020 PROGRAM NILAM GURU PSS & PENGAWAS PSS
OKTOBER 13/10/2020 PROGRAM MENTOR MENTEE KAUNSELOR
2020 20/10/2020 PROGRAM MBMMBI GK BAHASA & KP BM & KP BI
27/10/2020 PROGRAM GURU PENYAYANG KAUNSELOR
3/11/2020 PROGRAM NILAM GURU PSS & PENGAWAS PSS
NOVEMBER 10/11/2020 PROGRAM MENTOR MENTEE KAUNSELOR
2020
17/11/2020 PROGRAM GURU PENYAYANG KAUNSELOR
48

