Page 18 - 06-65 6 ส.ค. 65
P. 18
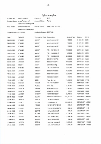
- 18-
Th1t t1tI
Account No. 270-0-12132-5 Currency THB
Account Name iicrnM Account Status Active
n lai
Alias Name ii i4 Branch Name BANG PLA SQl BR.
nniaarn'i iau
Ledger Balance 25,773.91 Available Balance 25,773.91
Date Teller Id Transaction Code Description Amount Tax Balance mit Br
04-06-2022 ITBANK NBSDT ci iihJ 150.00 21,325.26 0221
04-06-2022 ITBANK NBSDT thJ 150.00 21,475.26 0221
04-06-2022 ITBANK NBSDT J?%l1i 170.00 21,645.26 0221
09-06-2022 ITBANK NBSDT TR fr 2301095444 1,500.00 23,145.26 0230
09-06-2022 ITBANK NBSDT TR Ii 2280065215 500.00 23,645.26 0228
09-06-2022 ITBANK NBSDT TR fr 2090299789 2,000.00 25,645.26 0209
09-06-2022 AB0004 IORSDT 004-0123761782 500.00 26,145.26 0228
09-06-2022 AB0002 IORSDT 002-7770335714 1,000.00 27,145.26 0228
09-06-2022 590376 SDCH 1,000.00 28,145.26 0209
09-06-2022 ITBANK NBSDT TR fr 7510147816 2,000.00 30,145.26 0751
10-06-2022 AB0002 IORSDT 002-3430665855 1,000.00 31,145.26 0228
11-06-2022 AB0002 IORSDT 002-4790130647 2,000.00 33,145.26 0228
13-06-2022 AB0004 IORSDT 004-6562126633 500.00 33645.26 0228
13-06-2022 411887 SDCH rfl 1,500.00 35,145.26 0148
14-06-2022 ITBANK NBSDT TR fr 7510268664 500.00 35,645.26 0751
14-06-2022 AB0004 PCSDC 2,050.00 37,695.26 0228
14-06-2022 AB0004 IORSDT 004-2932503657 1,000.00 38,695.26 0228
14-06-2022 AB0004 IORSDT 004-0141544594 120.00 38,815.26 0228
14-06-2022 AB0004 IORSDT 004-6102369007 2,00d.00 40,815.26 0228
23-06-2022 937071 BSD14 ChonburiPrimaI200209 133,213.81 174,029.07 108682
23-06-2022 ITBANK NBSDT TR fr 2210013534 420.00 174,449.07 0221
23-06-2022 937071 BSD14 thlnqi i18 105,050.00 279,499.07 108682
24-06-2022 K31245 ATSDC K31245-270012 1325 300.00 279799.07 0882
2406-2022 K10897 ATSDT K10897-9816308738 500.00 280,299.07 1119
24-06-2022 19410 SDTRT 350.00 280,649.07 0207
24-06-2022 19410 SDTRT 11,750.00 292,399.07 0207
27-06-2022 931001 BSDO2 PATTAYA CITY/3 5,500.00 297,899.07 108682
27-06-2022 AB0004 IORSDT 004-0141544594 150.00 298049.07 0228
27-06-2022 937070 BSD14 2,300.00 300,349.07 108682
2 7-06-2022 937070 BSDI4 8,150.00 308,499.07 108682

