Page 105 - ไม้สน2545
P. 105
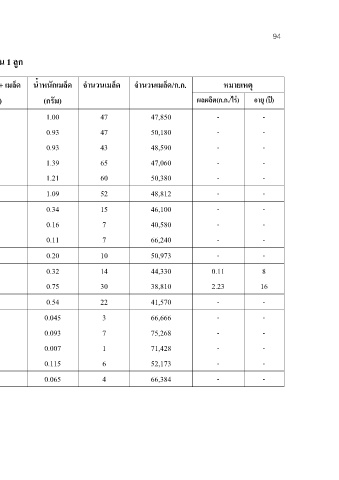
94
้
่
ตารางที 52 ขนาดของโคนและผลผลิตของเมล็ดไมสนชนิดตางๆ โดยเฉลี ยในโคนสน 1 ลูก
ี
ั
ิ
ชนด แหลง นาหนกโคน ขนาดโคน (ซม.) นาหนกปก + เมล็ด นาหนกเมล็ด จํานวนเมล็ด จํานวนเมล็ด/ก.ก. หมายเหตุ
่
ั
ํ
ํ
ํ
ั
ั
ี
(กรม) ยาว กวาง (กรม) (กรม) ผลผลิต(ก.ก./ไร) อายุ (ป)
ั
่
ั
้
สนสามใบ หนองกระทิง 37.50 7.52 3.80 1.23 1.00 47 47,850 - -
(Pinus kesiya) ดอยอินทนนท์ 36.00 7.30 3.83 1.16 0.93 47 50,180 - -
สะเมิง 34.90 8.02 3.69 1.17 0.93 43 48,590 - -
วัดจันทร ์ 36.30 7.75 3.89 1.68 1.39 65 47,060 - -
ห้วยบง 36.00 7.34 3.80 1.48 1.21 60 50,380 - -
เฉลี ย 36.14 7.59 3.80 1.34 1.09 52 48,812 - -
ิ
สนสองใบ บุญฑรก 25.03 7.44 2.53 0.81 0.34 15 46,100 - -
(Pinus merkusii) โขงเจยม 24.03 6.88 2.62 0.35 0.16 7 40,580 - -
ี
สังขะ 28.97 7.14 2.68 0.35 0.11 7 66,240 - -
เฉลี ย 26.01 7.15 2.61 0.50 0.20 10 50,973 - -
สนคารเบีย อินทขิล 32.08 7.44 3.65 0.67 0.32 14 44,330 0.11 8
ิ
(Pinus caribaea) ห้วยบง 50.17 10.16 3.70 1.14 0.75 30 38,810 2.23 16
เฉลี ย 41.13 8.80 3.68 0.91 0.54 22 41,570 - -
์
์
สนโอคารปา ห้วยบง, เบอร 3032 32.46 5.55 3.53 - 0.045 3 66,666 - -
(Pinus oocarpa) ห้วยบง, เบอร 3038 28.89 6.16 3.47 - 0.093 7 75,268 - -
์
์
ห้วยบง, เบอร 3042 27.90 5.47 3.65 - 0.007 1 71,428 - -
์
ห้วยบง, เบอร 3044 26.49 6.55 3.55 - 0.115 6 52,173 - -
เฉลี ย 28.94 5.93 3.55 - 0.065 4 66,384 - -
ทมา : อําไพ (2541)
ี

