Page 18 - Buku Pengurusan SID 2019
P. 18
BUKU PENGURUSAN SMK SID 2019
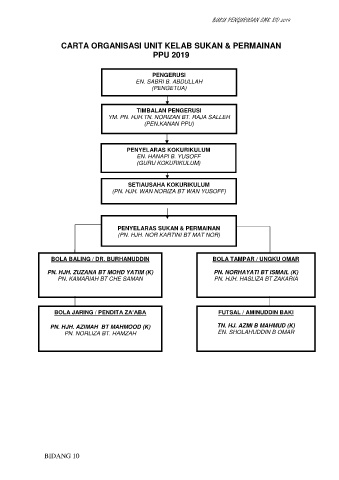
CARTA ORGANISASI UNIT KELAB SUKAN & PERMAINAN
PPU 2019
PENGERUSI
EN. SABRI B. ABDULLAH
(PENGETUA)
TIMBALAN PENGERUSI
YM. PN. HJH.TN. NORIZAN BT. RAJA SALLEH
(PEN.KANAN PPU)
PENYELARAS KOKURIKULUM
EN. HANAPI B. YUSOFF
(GURU KOKURIKULUM)
SETIAUSAHA KOKURIKULUM
(PN. HJH. WAN NORIZA BT WAN YUSOFF)
PENYELARAS SUKAN & PERMAINAN
(PN. HJH. NOR KARTINI BT MAT NOR)
BOLA BALING / DR. BURHANUDDIN BOLA TAMPAR / UNGKU OMAR
PN. HJH. ZUZANA BT MOHD YATIM (K) PN. NORHAYATI BT ISMAIL (K)
PN. KAMARIAH BT CHE SAMAN PN. HJH. HASLIZA BT ZAKARIA
BOLA JARING / PENDITA ZA’ABA FUTSAL / AMINUDDIN BAKI
PN. HJH. AZIMAH BT MAHMOOD (K) TN. HJ. AZMI B MAHMUD (K)
PN. NORLIZA BT. HAMZAH EN. SHOLAHUDDIN B OMAR
BIDANG 10

