Page 154 - BUKU PENGURUSAN SMKTM 2022
P. 154
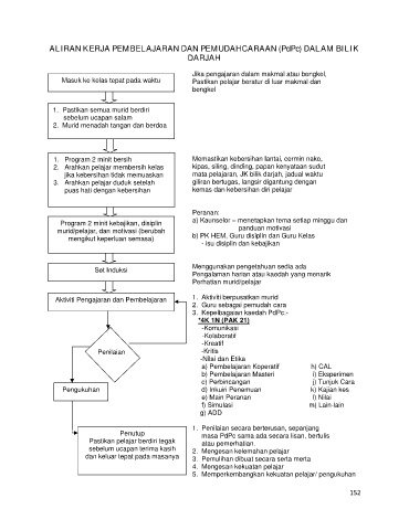
ALIRAN KERJA PEMBELAJARAN DAN PEMUDAHCARAAN (PdPc) DALAM BILIK
DARJAH
Jika pengajaran dalam makmal atau bengkel,
Masuk ke kelas tepat pada waktu Pastikan pelajar beratur di luar makmal dan
bengkel
1. Pastikan semua murid berdiri
sebelum ucapan salam
2. Murid menadah tangan dan berdoa
1. Program 2 minit bersih Memastikan kebersihan lantai, cermin nako,
2. Arahkan pelajar membersih kelas kipas, siling, dinding, papan kenyataan sudut
jika kebersihan tidak memuaskan mata pelajaran, JK bilik darjah, jadual waktu
3. Arahkan pelajar duduk setelah giliran bertugas, langsir digantung dengan
puas hati dengan kebersihan kemas dan kebersihan diri pelajar
Peranan:
Program 2 minit kebajikan, disiplin a) Kaunselor – menetapkan tema setiap minggu dan
murid/pelajar, dan motivasi (berubah panduan motivasi
mengikut keperluan semasa) b) PK HEM, Guru disiplin dan Guru Kelas
- isu disiplin dan kebajikan
Menggunakan pengetahuan sedia ada
Set Induksi
Pengalaman harian atau kaedah yang menarik
Perhatian murid/pelajar
Aktiviti Pengajaran dan Pembelajaran 1. Aktiviti berpusatkan murid
2. Guru sebagai pemudah cara
3. Kepelbagaian kaedah PdPc:-
*4K 1N (PAK 21)
-Komunikasi
-Kolaboratif
-Kreatif
Penilaian -Kritis
-Nilai dan Etika
a) Pembelajaran Koperatif h) CAL
b) Pembelajaran Masteri i) Eksperimen
c) Perbincangan j) Tunjuk Cara
Pen gukuhan d) Inkuiri Penemuan k) Kajian kes
e) Main Peranan l) Nilai
f) Simulasi m) Lain-lain
g) ADD
1. Penilaian secara berterusan, sepanjang
Penutup masa PdPc sama ada secara lisan, bertulis
Pastikan pelajar berdiri tegak atau pemerhatian.
sebelum ucapan terima kasih 2. Mengesan kelemahan pelajar
dan keluar tepat pada masanya 3. Pemulihan dibuat secara serta merta
4. Mengesan kekuatan pelajar
5. Memperkembangkan kekuatan pelajar/ pengukuhan
152

