Page 47 - เลขยกกำลง ฮปโป_Neat
P. 47
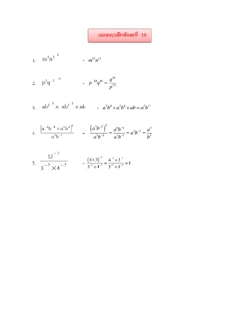
เฉลยแบบฝึกทักษะที่ 10
5
3
3
1. m n = m n
15 15
8 q 16
3
2. p q 2 = p 24 16
q
p 24
2 2
3. ab 2 ab 3 ab = a b a b ab a b
5 11
2 6
2 4
3
2
5
a b 4 a b 2 2 a b 2 2 a b 4 a 3
6
4. = a b
3
3
3
3
3
a b 1 a b 1 a b 1 b 3
12 7 7 7 7
5. 7 7 = 4 3 4 3 1
3 4 3 7 4 7 3 7 4 7

