Page 46 - เลขยกกำลง ฮปโป_Neat
P. 46

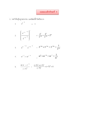
เฉลยแบบฝึกทักษะที่  9




              1.  จงท ำให้อยู่ในรูปอย่ำงง่ำย  และมีเลขชี้ก ำลังเป็นบวก


                     1        5 0  3        =    1



                                        2
                                      2
                               4  1                   4 4    2 8
                                                                    18
                     2.              2            =      10      10    2
                                2  5                 2      2



                                   2        3           2m    3m     5m     1
                     3.       2 m     2  m        =    2    2      2        5m
                                                                             2

                                                                            1
                                                                     
                                                             
                                                       9
                                                                      7
                     4.      m 3  3  m 4  4          m    m  16    m      7
                                                  =                        m

                             49      7  3      ( 7)      3
                                               
                                                   2
                                                      ( 7)
                     5.                    =           5          0  1
                                                               ( 7) 
                                                   
                                ( 7) 5            ( 7)
   41   42   43   44   45   46   47   48