Page 185 - policy and procedure infection control
P. 185
Policies and Procedures on Infection Control
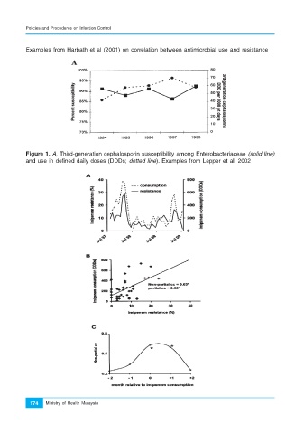
Examples from Harbath et al (2001) on correlation between antimicrobial use and resistance
Figure 1. A, Third-generation cephalosporin susceptibility among Enterobacteriaceae (solid line)
and use in defined daily doses (DDDs; dotted line). Examples from Lepper et al, 2002
174 Ministry of Health Malaysia

