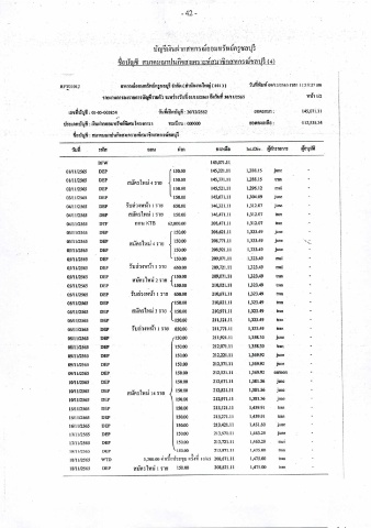
Page 42 - วาระประชุมประจำเดือน ครั้งที่ 10-2565 กอง4
P. 42
-42 -
41 .' 1
Jtf 1th1junLns1 1cnrn4ncrn (4)
R.PT0l0t! annnfai 16i ( âiYnuu1iiqj (001)) '1J1'09/12/2565 t7t1 11:19:27 am
111Uflh11UIO1S 110815 ldIliuii 0111112565 1'II 30111/2565 li11 1/2
IlI%ThTt: 01-05-003854 'u.1i8ItTqft :26112/2562 110811mm: 145,071.11
,isuirnmi;: iUI1fl001J11f1UtfI1l1fl54IYl53 0t.lfli :000000 t10fIfi4L110: 112,535.34
T;:
tlI OOIJ 11i11 lntiDiv. 'iIisiunis 8'8%1T
BFW 145,071.11
OUI 112565 DP 1150.00 145,221.11 1,288.15 june
01/11/2565 DEl' J 150.00 145,371.11 1,288.15 lean
02/1112565 DEl' 150.00 145,521.11 1,296.12 mui
03/1I/2S65 DEP 150.00 145,671.11 1,304.09 june
04/11/2565 DEP lii llfl41 I 5111 650.00 146,321.11 1,312.07 june
04/11/2565 DEP 1Y1J95°LIISJ 1 710 150.00 146,471.11 1,312.07 iran
04/11/2565 DTF 01)11 KTB 62,000.00 208,471.11 1,312.07 Iran
05/11/2565 DEl' 150.00 208,621.11 1,323.49 june
05/11/2565 DEl' 150.00 208,771.11 1.32349 June
4510
05/11/2565 DEl' 150.00 208,921.11 1,323.49 june
05/11/2565 DEl' 150.00 209,071.11 1,323.49 mui
05/11/2565 DEP )41i1l1 1 5111 650.00 209,721.11 1,323.49 mlii
05/11/2565 DEP q (150.00 209,871.11 1,323.49 lefl
13J1)511i1J2710 4
05111/2565 DEl' 1150.00 210,021.11 1,323.49 Iran
05/11/2565 DEl' 11'H571 1 5111 650.00 210,671.11 1,323.49 Iran
05/1112565 DEl' 115000 210,821.11 1,323.49 Iran
05/1112565 DEP 1iJII5h11J 35111 150.00 210,971.11 1,323.49 Iran
05111/2565 DEl' ..l50.00 211,121.11 1,323.49 iran
05/11/2565 DEl' 1J?I5451141 1 5111 650.00 211,771.11 1,323.49 Iran
08111/2565 DEl' 150.00 211,921.11 1,358.30 june
08/11/2565 DEl' 150.00 2I2.071.11 1,358.30 Iran
09/1112565 DEl' 150.00 212,221.11 1,369.92 june
09/11/2565 DEP 150.00 212,371.11 1,369.92 june
09/11/2565 DEl' 150.00 212,521.11 1,369.92 cartoon
10/1112565 DEl' 150.00 212,671.11 1,38156 june
10111/2565 DEl' 150.00 212,821.11 1,381.56 june
2Y)J1)SThIJ 14 5111
10/1112565 DEP 150.00 212,971.11 1,381.56 june
15/1112565 DEP 150.00 213,121.11 1,439.91 Iran
15111/2565 DEl' 150.00 213,271.11 1,439.91 Iran
16/11/2365 DEl' 150.00 213,421.11 1,451.60 june
1711112.565 DEl' 150.00 213,571.11 1,463.29 june
17/11/2565 DEl' 150.00 213,721.11 1,463.29 mui
18/11/2565 DIr? 150.00 213.871.1I 1,475.00 iran
18/11/2565 WTD 5,200.00 1I9J 115111 10/65 208,671.11 1,475.00 iran
18/1112565 DEl' I 5111 150.00 208,821.11 1,475.00 Iran

