Page 67 - Monographie de la wilaya de Djelfa 2017
P. 67
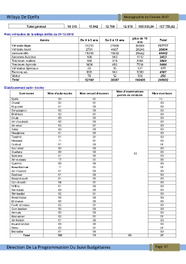
Wilaya De Djelfa Monographie de l’année 2017
Total général 16 319 15 842 12 799 12 678 165 933,94 157 759,62
Parc véhicules de la wilaya arrête au 31-12-2016
plus de 10
Année De 0 à 5 ans De 6 à 10 ans Total
ans
Véhicule léger 31213 21900 84664 137777
Véhicule lourd 2791 4967 20246 28004
camionnette 15618 10632 29442 55692
Autocars-Autobus 198 543 1712 2453
Tracteurs routiers 180 318 2304 2802
Tracteurs Agricole 1434 496 7514 9444
Véhicules Spéciaux 25 15 137 177
Remorques 603 504 3280 4387
Motos 78 12 166 256
Total 52140 39387 149465 240992
Etablissement auto– écoles
Nbre d’examinateurs
Communes Nbre d’auto-écoles Nbre sercuit d’examen Nbre moniteurs
permis de conduire
Djelfa 53 01 14
Charef 02 01 00
El guedid 01 00 00
Benyaagoub 00 00 00
El idrissia 03 01 00
Douis 00 00 00
Ain chouhada 00 00 00
Ain elbel 03 01 00
Zekar 00 00 00
Moudjbara 01 00 00
Taadmit 01 01 00
Messaad 11 01 03
Deldoul 01 00 01
Sed rahal 00 00 00
Guettara 00 00 00
03
Selmana 01 00 00
Ain oussara 17 01 06
Guernini 00 00 00
Hassi Bahbah 11 01 01
Ain maabed 01 00 00
Zaafrane 01 00 00
Hassi el euch 01 00 00
Dar chioukh 04 01 00
M’liliha 01 00 00
Sidi baizid 00 00 00
Sidi laadjal 02 01 00
Hassi fedoul 00 00 00
El khemis 00 00 00
Feidh el botma 02 01 00
Oum laadam 00 00 00
Amoura 00 00 00
Had sahari 03 01 01
Ain fekkah 01 00 00
Bouiret lahdab 00 00 00
Birine 03 01 01
Bennahar 01 00 00
Total 126 13 03 27
Direction De La Programmation Du Suivi Budgétaires Page 67

