Page 9 - MODUL TUNAS MINDA F5-IBADAT(PERKAHWINAN)
P. 9
2020 MODUL LATIHAN PENDIDIKAN ISLAM TINGKATAN 5
----------------------------------------------------------------------------------------------------------------------------------------------------
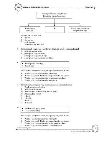
6 Golongan Wanita Yang Haram
Dikahwini Untuk Sementara
Wanita yang P Wanita yang diceraikan
bersuami dengan talak tiga
P dalam carta di atas ialah
A ibu tiri
B ibu mertua
C anak saudara
D wanita masih dalam idah
7 Berikut adalah perempuan yang haram dikahwini untuk sementara kecuali
A adik perempuan seibu
B perempuan yang bersuami
C perempuan yang ditalak tiga
D perempuan yang masih dalam iddah
8 Perempuan ditalak tiga
Kakak ipar
Pilih jawapan yang sesuai merujuk kepada pernyataan di atas.
A Wanita yang haram dikahwini selamanya.
B Wanita yang boleh dikahwini selepas berlaku penceraian
C Wanita yang haram dikahwini kerana persemendaan
D Wanita yang haram dikahwini sementara
9 Berikut ialah perempuan yang haram dikahwini kerana keturunan
I Emak saudara sebelah ibu
II Adik-beradik susuan
III Anak saudara daripada adik beradik seibu
IV Anak saudara susuan
A I dan II
B I dan III
C II dan IV
D III dan IV
10 Adik-beradik perempuan
Anak-anak saudara
Pilih jawapan yang sesuai merujuk kepada pernyataan di atas.
A Wanita yang haram dikahwini sementara
B Wanita yang boleh dikahwini selepas berlaku penceraian
C Wanita yang haram dikahwini kerana persemendaan
D Wanita yang haram dikahwini kerana keturunan
SAKTI MENERAJUI 9
-------------------------------------------------------------------------------------------------------------------------------------------------------------
USTAZ ARSAM BIN AHMAD

