Page 33 - buku RAT Virtual
P. 33
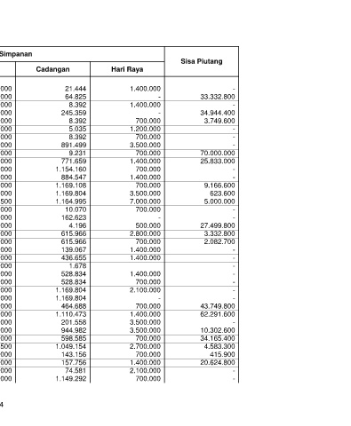
No Nama Anggota Simpanan Sisa Piutang
Urut
Pokok Wajib Cadangan Hari Raya
2.810.381.500
31 BAKTI INDRIANISARI 500.000 1.900.000 21.444 1.400.000 -
32 BAMBANG ANDI W, S.Pd 500.000 3.500.000 64.825 - 33.332.800
33 BARDIYATI, SP.d 500.000 1.000.000 8.392 1.400.000 -
34 BESAR PURWADI 500.000 7.700.000 245.359 - 34.944.400
35 BUDI DARSONO,S.Pd. M.Pd 500.000 1.000.000 8.392 700.000 3.749.600
36 BUDI HERIJANTO 500.000 600.000 5.035 1.200.000 -
37 BUDI MUHAMMADI M.Pd 500.000 1.000.000 8.392 700.000 -
38 BUDI RAHARJO, S.Pd 500.000 13.530.000 891.499 3.500.000 -
39 BUDI SETYO HARSONO 500.000 1.100.000 9.231 700.000 70.000.000
40 C. WIWIK HARYANTI 500.000 13.200.000 771.659 1.400.000 25.833.000
41 CARSIYAN 500.000 14.787.000 1.154.160 700.000 -
42 CAYEKTI WIDIGDO, M.Si 500.000 13.470.000 884.547 1.400.000 -
43 CHUZAENAB 500.000 14.916.000 1.169.108 700.000 9.166.600
44 DAHLIA 500.000 14.922.000 1.169.804 3.500.000 623.600
45 DAI WARDOYO 500.000 14.880.500 1.164.995 7.000.000 5.000.000
46 DEDIK IRAWAN 500.000 1.200.000 10.070 700.000 -
47 DENI SURYA 500.000 6.000.000 162.623 - -
48 DEWI MUNTAZAH S.Pd. I 500.000 500.000 4.196 500.000 27.499.800
49 DEWI SUPARSIATUN, S.Pd 500.000 12.300.000 615.966 2.800.000 3.332.800
50 DIAH AYU SK, S.Pi 500.000 12.300.000 615.966 700.000 2.082.700
51 DIAN ITA WULANSARI 500.000 5.500.000 139.067 1.400.000 -
52 DIAN VIFTIANA 500.000 10.500.000 436.655 1.400.000 -
53 DIYAH HERYATI, SPd, SD 500.000 200.000 1.678 -
54 DWI BUDIANI LILIA S 500.000 11.550.000 528.834 1.400.000 -
55 DWI INDAH WIDIASTUTI 500.000 11.550.000 528.834 700.000 -
56 DWI RAHARTI 500.000 14.922.000 1.169.804 2.100.000 -
57 DWI RETNANINGTYAS 500.000 14.922.000 1.169.804 - -
58 DWIJO PRIYONO, S.Pd, M.Hum 500.000 10.850.000 464.688 700.000 43.749.800
59 DYANI WIDYOSISWATI, Dra. 500.000 14.410.000 1.110.473 1.400.000 62.291.600
60 DZINIKA 500.000 6.800.000 201.558 3.500.000 -
61 EDI SADONO, Drs 500.000 13.530.000 944.982 3.500.000 10.302.600
62 EDY DRITOLEKSO, S.Pd 500.000 12.150.000 598.585 700.000 34.165.400
63 EDY PRIYADI 500.000 14.890.500 1.049.154 2.700.000 4.583.300
64 EDY SRI SUSANTI 500.000 5.600.000 143.156 700.000 415.900
65 EFA LESTARI 500.000 5.900.000 157.756 1.400.000 20.624.800
66 EKA UNJANA, Drs 500.000 3.800.000 74.581 2.100.000 -
67 EKI MOERJANI DT. Dra 500.000 14.745.000 1.149.292 700.000 -
24

