Page 35 - buku RAT Virtual
P. 35
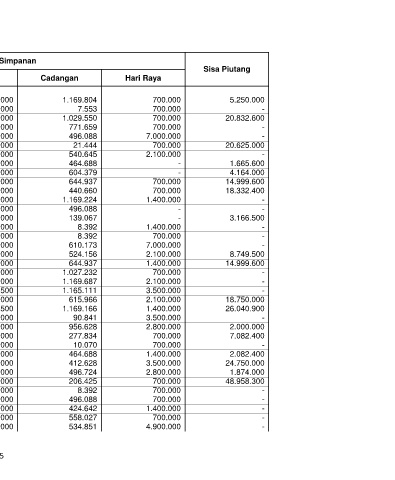
No Nama Anggota Simpanan Sisa Piutang
Urut
Pokok Wajib Cadangan Hari Raya
2.810.381.500
68 EMMY RATIH W., M.Pd 500.000 14.922.000 1.169.804 700.000 5.250.000
69 EMY ANGGRAENI, M.Pd 500.000 900.000 7.553 700.000 -
70 ENDAH SRI SUKARWATI 500.000 14.100.000 1.029.550 700.000 20.832.600
71 ENDANG HERNAWATI 500.000 13.200.000 771.659 700.000 -
72 ENDANG SUSILOWATI, SE 500.000 11.200.000 496.088 7.000.000 -
73 ENY MARHENI 500.000 1.900.000 21.444 700.000 20.625.000
74 ENY SETYOWATI R 500.000 11.650.000 540.645 2.100.000 -
75 ERNI SETIAWATI, Dra. 500.000 10.850.000 464.688 - 1.665.600
76 ESTI RAHAYU 500.000 12.200.000 604.379 - 4.164.000
77 ETY KUSUMA, A.Md 500.000 12.550.000 644.937 700.000 14.999.600
78 EVAH NAVILATI 500.000 10.550.000 440.660 700.000 18.332.400
79 F.R. SRI SUSIANA E. 500.000 14.917.000 1.169.224 1.400.000 -
80 FADHILA RATNASARI 500.000 11.200.000 496.088 - -
81 FAIZAH GAYAWATI 500.000 5.500.000 139.067 - 3.166.500
82 FARIDA ARYANI 500.000 1.000.000 8.392 1.400.000 -
83 FARIDA YULIATI, Dra 500.000 1.000.000 8.392 700.000 -
84 FAUZIYAH 500.000 12.250.000 610.173 7.000.000 -
85 FERA FIRASATI N. S.Pd 500.000 11.500.000 524.156 2.100.000 8.749.500
86 FITONIYAH 500.000 12.550.000 644.937 1.400.000 14.999.600
87 GHOZALI 500.000 14.080.000 1.027.232 700.000 -
88 GIYARTO 500.000 14.921.000 1.169.687 2.100.000 -
89 HADAITANA AGUS P. 500.000 14.881.500 1.165.111 3.500.000 -
90 HALIMAH, S.Pd 500.000 12.300.000 615.966 2.100.000 18.750.000
91 HARGIYATI 500.000 14.916.500 1.169.166 1.400.000 26.040.900
92 HARRY RUDIYANTO 500.000 4.300.000 90.841 3.500.000 -
93 HARTINI WIGATININGSIH 500.000 13.790.000 956.628 2.800.000 2.000.000
94 HARWIYATI 500.000 8.300.000 277.834 700.000 7.082.400
95 HARYANTO 500.000 1.200.000 10.070 700.000 -
96 HARYO MILATNO, SH 500.000 10.850.000 464.688 1.400.000 2.082.400
97 HERLINAH, S.Pd 500.000 10.200.000 412.628 3.500.000 24.750.000
98 HERU SUGIYATNA, S.Pd 500.000 11.250.000 496.724 2.800.000 1.874.000
99 IDA WAHYUNING SUSANTI 500.000 6.900.000 206.425 700.000 48.958.300
100 IKA SUSANTI 500.000 1.000.000 8.392 700.000 -
101 IMAM SANTOSO 500.000 11.200.000 496.088 700.000 -
102 IMAM SULENI 500.000 10.350.000 424.642 1.400.000 -
103 INAYAH, S.Pd 500.000 11.800.000 558.027 700.000 -
104 INDAH SUSANTI 500.000 11.600.000 534.851 4.900.000 -
25

