Page 43 - buku RAT Virtual
P. 43
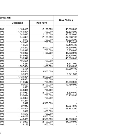
No Nama Anggota Simpanan Sisa Piutang
Urut
Pokok Wajib Cadangan Hari Raya
2.810.381.500
216 SRI LESTARI 500.000 14.919.000 1.169.456 2.100.000 43.000.000
217 SRI MARYANAH 500.000 14.922.000 1.169.804 700.000 45.833.200
218 SRI MUAWANAH, S.Pd 500.000 11.650.000 540.645 2.100.000 46.875.000
219 SRI RAHAYU 500.000 7.700.000 245.359 2.100.000 37.983.100
220 SRI SUGESTI 500.000 1.600.000 16.570 700.000 47.222.200
221 SRI SUHARYATI, S.Pd 500.000 11.650.000 540.645 700.000 8.750.000
222 SRI WULAN, S.Pd 500.000 1.600.000 16.570 - 12.499.400
223 SRI YANTI 500.000 13.050.000 754.277 3.500.000 14.500.000
224 SRI YATINI 500.000 12.450.000 633.349 700.000 8.958.000
225 SRI YUNIATI 500.000 6.400.000 182.090 1.400.000 45.833.000
226 SUBEJO 500.000 12.050.000 586.996 - 41.125.000
227 SUCIATI 500.000 12.450.000 633.349 - 40.500.000
228 SUGENG SUTIKNO, S.Pd 500.000 6.700.000 196.691 700.000 -
229 SUGIYO, Drs. 500.000 1.100.000 9.231 700.000 8.611.000
230 SUHARDI 500.000 14.922.000 1.087.804 1.400.000 2.416.200
231 SUHARDI KEU 500.000 3.100.000 46.401 - 27.999.400
232 SUHARTI 500.000 14.922.000 1.169.804 3.500.000 -
233 SUHARTO, M.Pd 500.000 3.500.000 56.021 - 2.041.500
234 SULAEMAN 500.000 14.922.000 1.124.804 3.500.000 -
235 SULASTRI 500.000 14.922.000 1.169.804 700.000 -
236 SUMADIYONO 500.000 9.000.000 319.542 700.000 35.000.000
237 SUMARSIH 500.000 6.700.000 196.691 2.100.000 13.750.000
238 SUMARTINI, Dra 500.000 1.600.000 16.570 1.400.000 -
239 SUMARTONO, Drs 500.000 13.805.000 958.366 700.000 -
240 SUMINI 500.000 12.550.000 644.937 2.100.000 8.330.800
241 SUMIYATI 500.000 12.900.000 935.494 700.000 26.133.200
242 SUPARTO, Drs., M.Pd 500.000 13.805.000 958.366 700.000 -
243 SUPARYONO SE 500.000 3.300.000 51.211 - -
244 SUPRAYITNO,S.Ag 500.000 1.000.000 8.392 3.500.000 -
245 SUPRIYANTO 500.000 2.300.000 27.943 - 47.624.500
246 SUPRIYATI 500.000 14.922.000 1.107.804 1.400.000 28.193.200
247 SUPRIYONO 500.000 1.000.000 8.392 1.400.000 -
248 SUROSO, Drs., M.Pd 500.000 3.400.000 61.573 700.000 -
249 SUTINEM 500.000 14.919.000 1.169.456 3.500.000 -
250 SUTINI, S.Pd 500.000 10.550.000 440.660 3.500.000 42.000.000
251 SUTOYO 500.000 12.300.000 615.966 2.100.000 34.000.000
252 SUWARTAYA 500.000 500.000 4.196 900.000 -
29

