Page 39 - buku RAT Virtual
P. 39
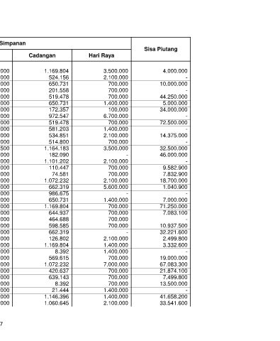
No Nama Anggota Simpanan Sisa Piutang
Urut
Pokok Wajib Cadangan Hari Raya
2.810.381.500
142 MASLICAH 500.000 14.922.000 1.169.804 3.500.000 4.000.000
143 MIFTAHUL JANNAH 500.000 11.500.000 524.156 2.100.000 -
144 MISS RUSLINA, Dra 500.000 12.600.000 650.731 700.000 10.000.000
145 MOCH ISKANDAR 500.000 6.800.000 201.558 700.000 -
146 MUALIM 500.000 11.450.000 519.478 700.000 44.250.000
147 MUCHAMMAD AMIN 500.000 12.600.000 650.731 1.400.000 5.000.000
148 MUH GHUFRON 500.000 6.200.000 172.357 100.000 34.000.000
149 MUHAJIRIN 500.000 13.470.000 972.547 6.700.000 -
150 MUHAMAD RIF'AN 500.000 11.450.000 519.478 700.000 72.500.000
151 MUHAMMAD LUQMANUL C 500.000 12.000.000 581.203 1.400.000 -
152 MUJIASIH 500.000 11.600.000 534.851 2.100.000 14.375.000
153 MUNIROH 500.000 11.400.000 514.800 700.000 -
154 MUSLIH, Drs 500.000 14.873.500 1.164.183 3.500.000 32.500.000
155 MUSLIKHIN, S.Ag 500.000 6.400.000 182.090 - 46.000.000
156 MUSTIJO 500.000 14.330.000 1.101.202 2.100.000 -
157 NAFIYAH 500.000 4.800.000 110.447 700.000 9.582.900
158 NAHRIYAH 500.000 3.800.000 74.581 700.000 7.832.900
159 NGAFIAH 500.000 14.080.000 1.072.232 2.100.000 18.700.000
160 NINIEK WAHYUNI 500.000 12.700.000 662.319 5.600.000 1.040.900
161 NOOR CHAMIDAH 500.000 13.730.000 986.675 - -
162 NOOR SOBAH, S.Pd 500.000 12.600.000 650.731 1.400.000 7.000.000
163 NUR FADHILAH 500.000 14.922.000 1.169.804 700.000 71.250.000
164 NUR FAIZIN 500.000 12.550.000 644.937 700.000 7.083.100
165 NUR HIDAYAH, S.Pd 500.000 10.850.000 464.688 700.000 -
166 NUR KHASANAH, S.Pd 500.000 12.150.000 598.585 700.000 10.937.500
167 NUR KHIKMAH 500.000 12.700.000 662.319 - 32.221.600
168 NURAENI 500.000 5.200.000 126.802 2.100.000 2.499.800
169 NURUL HIDAYAH 500.000 14.922.000 1.169.804 1.400.000 3.332.600
170 ONAH S.Pd 500.000 1.000.000 8.392 1.400.000 -
171 PARYONO, S.Pd 500.000 11.900.000 569.615 700.000 19.000.000
172 PAULA WIWIK 500.000 14.080.000 1.072.232 7.000.000 67.083.300
173 PURNAMA DEWI 500.000 10.300.000 420.637 700.000 21.874.100
174 RAHAYU WIJAYAWATI 500.000 12.500.000 639.143 700.000 7.499.800
175 RANO DWI JAYANTO 500.000 1.000.000 8.392 700.000 13.500.000
176 RATNANINGSIH 500.000 1.900.000 21.444 1.400.000 -
177 RIA PRATIWI 500.000 14.720.000 1.146.396 1.400.000 41.658.200
178 RISA HARIDA 500.000 13.980.000 1.060.645 2.100.000 33.541.600
27

