Page 18 - More Higher algebra
P. 18
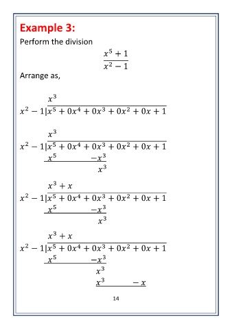
Example 3:
Perform the division
5
+ 1
2
− 1
Arrange as,
3
5 ̅̅̅̅̅̅̅̅̅̅̅̅̅̅̅̅̅̅̅̅̅̅̅̅̅̅̅̅̅̅̅̅̅̅̅̅̅̅̅̅̅
2
2
3
4
− 1| + 0 + 0 + 0 + 0 + 1
3
5 ̅̅̅̅̅̅̅̅̅̅̅̅̅̅̅̅̅̅̅̅̅̅̅̅̅̅̅̅̅̅̅̅̅̅̅̅̅̅̅̅̅
2
4
2
3
− 1| + 0 + 0 + 0 + 0 + 1
3
5 −
3
3
+
5 ̅̅̅̅̅̅̅̅̅̅̅̅̅̅̅̅̅̅̅̅̅̅̅̅̅̅̅̅̅̅̅̅̅̅̅̅̅̅̅̅̅
2
4
3
2
− 1| + 0 + 0 + 0 + 0 + 1
3
5 −
3
3
+
5 ̅̅̅̅̅̅̅̅̅̅̅̅̅̅̅̅̅̅̅̅̅̅̅̅̅̅̅̅̅̅̅̅̅̅̅̅̅̅̅̅̅
2
4
2
3
− 1| + 0 + 0 + 0 + 0 + 1
3
5 −
3
3
−
14

