Page 1412 - E-book ระเบียบ_compressed
P. 1412
- 265 -
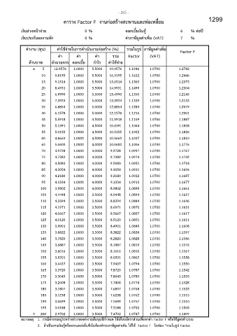
ตาราง Factor F งานก่อสร้างสะพานและท่อเหลี่ยม 1299
้
เงินล่วงหนาจ่าย 0 % ดอกเบี้ยเงินก ู้ 6 % ต่อปี
เงินประกันผลงานหัก 0 % ค่าภาษีมูลค่าเพม (VAT) 7 %
ิ่
ิ
ค่างาน (ทุน) ค่าใช้จ่ายในการด าเนนงานก่อสร้าง (%) รวมในรูป ภาษีมูลค่าเพม Factor F
ิ่
ค่า ค่า ค่า รวม Factor (VAT)
ล้านบาท อ านวยการ ดอกเบี้ย ก าไร ค่าใช้จ่าย
≤ 5 12.9576 1.0000 5.5000 19.4576 1.1946 1.0700 1.2782
10 9.8195 1.0000 5.5000 16.3195 1.1632 1.0700 1.2446
15 9.1514 1.0000 5.5000 15.6514 1.1565 1.0700 1.2375
20 8.4931 1.0000 5.5000 14.9931 1.1499 1.0700 1.2304
25 6.9990 1.0000 5.5000 13.4990 1.1350 1.0700 1.2145
30 7.3924 1.0000 5.0000 13.3924 1.1339 1.0700 1.2133
35 6.8854 1.0000 5.0000 12.8854 1.1289 1.0700 1.2079
40 6.1578 1.0000 5.0000 12.1578 1.1216 1.0700 1.2001
45 5.5918 1.0000 4.5000 11.0918 1.1109 1.0700 1.1887
50 5.1391 1.0000 4.5000 10.6391 1.1064 1.0700 1.1838
55 5.0155 1.0000 4.5000 10.5155 1.1052 1.0700 1.1826
60 4.8663 1.0000 4.5000 10.3663 1.1037 1.0700 1.1810
65 5.0600 1.0000 4.0000 10.0600 1.1006 1.0700 1.1776
70 4.9728 1.0000 4.0000 9.9728 1.0997 1.0700 1.1767
75 4.7382 1.0000 4.0000 9.7382 1.0974 1.0700 1.1742
80 4.5083 1.0000 4.0000 9.5083 1.0951 1.0700 1.1718
85 4.3054 1.0000 4.0000 9.3054 1.0931 1.0700 1.1696
90 4.2180 1.0000 4.0000 9.2180 1.0922 1.0700 1.1687
95 4.1334 1.0000 4.0000 9.1334 1.0913 1.0700 1.1677
100 3.9802 1.0000 4.0000 8.9802 1.0898 1.0700 1.1661
105 4.4448 1.0000 3.5000 8.9448 1.0894 1.0700 1.1657
110 4.3394 1.0000 3.5000 8.8394 1.0884 1.0700 1.1646
115 4.1971 1.0000 3.5000 8.6971 1.0870 1.0700 1.1631
120 4.0667 1.0000 3.5000 8.5667 1.0857 1.0700 1.1617
125 4.0120 1.0000 3.5000 8.5120 1.0851 1.0700 1.1611
130 3.9901 1.0000 3.5000 8.4901 1.0849 1.0700 1.1608
135 3.8822 1.0000 3.5000 8.3822 1.0838 1.0700 1.1597
140 3.7820 1.0000 3.5000 8.2820 1.0828 1.0700 1.1586
145 3.6887 1.0000 3.5000 8.1887 1.0819 1.0700 1.1576
150 3.6016 1.0000 3.5000 8.1016 1.0810 1.0700 1.1567
155 3.5201 1.0000 3.5000 8.0201 1.0802 1.0700 1.1558
160 3.4437 1.0000 3.5000 7.9437 1.0794 1.0700 1.1550
165 3.3720 1.0000 3.5000 7.8720 1.0787 1.0700 1.1542
170 3.3045 1.0000 3.5000 7.8045 1.0780 1.0700 1.1535
175 3.2408 1.0000 3.5000 7.7408 1.0774 1.0700 1.1528
180 3.1807 1.0000 3.5000 7.6807 1.0768 1.0700 1.1522
185 3.1238 1.0000 3.5000 7.6238 1.0762 1.0700 1.1515
190 3.0699 1.0000 3.5000 7.5699 1.0757 1.0700 1.1510
195 3.0188 1.0000 3.5000 7.5188 1.0752 1.0700 1.1505
≥ 200 2.9702 1.0000 3.5000 7.4702 1.0747 1.0700 1.1499
หมายเหตุ 1. กรณีค่างานอยู่ระหว่างช่วงของค่างานต้นทุนที่ก าหนด ให้เทียบอัตราส่วนเพื่อหาค่า Factor F หรือใช้สูตรค านวณ
2. ถ้าเป็นงานเงินกหรือจากแหล่งอนซงไม่ต้องช าระภาษีมูลค่าเพิ่ม ให้ใช้ Factor F ในช่อง "รวมในรูป Factor"
ู้
ื่
ึ่

