Page 1413 - E-book ระเบียบ_compressed
P. 1413
- 266 -
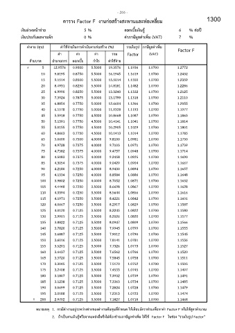
ตาราง Factor F งานก่อสร้างสะพานและท่อเหลี่ยม 1300
เงินล่วงหนาจ่าย 5 % ดอกเบี้ยเงินก ู้ 6 % ต่อปี
้
เงินประกันผลงานหัก 0 % ค่าภาษีมูลค่าเพม (VAT) 7 %
ิ่
ค่างาน (ทุน) ค่าใช้จ่ายในการด าเนินงานก่อสร้าง (%) รวมในรูป ภาษีมูลค่าเพิ่ม Factor F
ค่า ค่า ค่า รวม Factor (VAT)
ล้านบาท อ านวยการ ดอกเบี้ย ก าไร ค่าใช้จ่าย
≤ 5 12.9576 0.9000 5.5000 19.3576 1.1936 1.0700 1.2772
10 9.8195 0.8750 5.5000 16.1945 1.1619 1.0700 1.2432
15 9.1514 0.8500 5.5000 15.5014 1.1550 1.0700 1.2359
20 8.4931 0.8250 5.5000 14.8181 1.1482 1.0700 1.2286
25 6.9990 0.8250 5.5000 13.3240 1.1332 1.0700 1.2125
30 7.3924 0.7875 5.0000 13.1799 1.1318 1.0700 1.2110
35 6.8854 0.7750 5.0000 12.6604 1.1266 1.0700 1.2055
40 6.1578 0.7750 5.0000 11.9328 1.1193 1.0700 1.1977
45 5.5918 0.7750 4.5000 10.8668 1.1087 1.0700 1.1863
50 5.1391 0.7750 4.5000 10.4141 1.1041 1.0700 1.1814
55 5.0155 0.7750 4.5000 10.2905 1.1029 1.0700 1.1801
60 4.8663 0.7750 4.5000 10.1413 1.1014 1.0700 1.1785
65 5.0600 0.7500 4.0000 9.8100 1.0981 1.0700 1.1750
70 4.9728 0.7375 4.0000 9.7103 1.0971 1.0700 1.1739
75 4.7382 0.7375 4.0000 9.4757 1.0948 1.0700 1.1714
80 4.5083 0.7375 4.0000 9.2458 1.0925 1.0700 1.1690
85 4.3054 0.7375 4.0000 9.0429 1.0904 1.0700 1.1667
90 4.2180 0.7250 4.0000 8.9430 1.0894 1.0700 1.1657
95 4.1334 0.7250 4.0000 8.8584 1.0886 1.0700 1.1648
100 3.9802 0.7250 4.0000 8.7052 1.0871 1.0700 1.1632
105 4.4448 0.7250 3.5000 8.6698 1.0867 1.0700 1.1628
110 4.3394 0.7250 3.5000 8.5644 1.0856 1.0700 1.1616
115 4.1971 0.7250 3.5000 8.4221 1.0842 1.0700 1.1601
120 4.0667 0.7250 3.5000 8.2917 1.0829 1.0700 1.1587
125 4.0120 0.7125 3.5000 8.2245 1.0822 1.0700 1.1580
130 3.9901 0.7125 3.5000 8.2026 1.0820 1.0700 1.1577
135 3.8822 0.7125 3.5000 8.0947 1.0809 1.0700 1.1566
140 3.7820 0.7125 3.5000 7.9945 1.0799 1.0700 1.1555
145 3.6887 0.7125 3.5000 7.9012 1.0790 1.0700 1.1545
150 3.6016 0.7125 3.5000 7.8141 1.0781 1.0700 1.1536
155 3.5201 0.7125 3.5000 7.7326 1.0773 1.0700 1.1527
160 3.4437 0.7125 3.5000 7.6562 1.0766 1.0700 1.1520
165 3.3720 0.7125 3.5000 7.5845 1.0758 1.0700 1.1511
170 3.3045 0.7125 3.5000 7.5170 1.0752 1.0700 1.1505
175 3.2408 0.7125 3.5000 7.4533 1.0745 1.0700 1.1497
180 3.1807 0.7125 3.5000 7.3932 1.0739 1.0700 1.1491
185 3.1238 0.7125 3.5000 7.3363 1.0734 1.0700 1.1485
190 3.0699 0.7125 3.5000 7.2824 1.0728 1.0700 1.1479
195 3.0188 0.7125 3.5000 7.2313 1.0723 1.0700 1.1474
≥ 200 2.9702 0.7125 3.5000 7.1827 1.0718 1.0700 1.1468
หมายเหตุ 1. กรณีค่างานอยู่ระหว่างช่วงของค่างานต้นทุนที่ก าหนด ให้เทียบอัตราส่วนเพื่อหาค่า Factor F หรือใช้สูตรค านวณ
ึ่
2. ถ้าเป็นงานเงินกหรือจากแหล่งอนซงไม่ต้องช าระภาษีมูลค่าเพิ่ม ให้ใช้ Factor F ในช่อง "รวมในรูป Factor"
ู้
ื่

