Page 1420 - E-book ระเบียบ_compressed
P. 1420
- 273 -
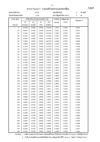
ตาราง Factor F งานก่อสร้างสะพานและท่อเหลี่ยม 1307
เงินล่วงหนาจ่าย 15 % ดอกเบี้ยเงินก ู้ 6 % ต่อปี
้
เงินประกันผลงานหัก 5 % ค่าภาษีมูลค่าเพม (VAT) 7 %
ิ่
ค่างาน (ทุน) ค่าใช้จ่ายในการด าเนินงานก่อสร้าง (%) รวมในรูป ภาษีมูลค่าเพิ่ม Factor F
ค่า ค่า ค่า รวม Factor (VAT)
ล้านบาท อ านวยการ ดอกเบี้ย ก าไร ค่าใช้จ่าย
≤ 5 12.9576 0.7500 5.5000 19.2076 1.1921 1.0700 1.2755
10 9.8195 0.7000 5.5000 16.0195 1.1602 1.0700 1.2414
15 9.1514 0.6500 5.5000 15.3014 1.1530 1.0700 1.2337
20 8.4931 0.6000 5.5000 14.5931 1.1459 1.0700 1.2261
25 6.9990 0.6000 5.5000 13.0990 1.1310 1.0700 1.2102
30 7.3924 0.5250 5.0000 12.9174 1.1292 1.0700 1.2082
35 6.8854 0.5000 5.0000 12.3854 1.1239 1.0700 1.2026
40 6.1578 0.5000 5.0000 11.6578 1.1166 1.0700 1.1948
45 5.5918 0.5000 4.5000 10.5918 1.1059 1.0700 1.1833
50 5.1391 0.5000 4.5000 10.1391 1.1014 1.0700 1.1785
55 5.0155 0.5000 4.5000 10.0155 1.1002 1.0700 1.1772
60 4.8663 0.5000 4.5000 9.8663 1.0987 1.0700 1.1756
65 5.0600 0.4500 4.0000 9.5100 1.0951 1.0700 1.1718
70 4.9728 0.4250 4.0000 9.3978 1.0940 1.0700 1.1706
75 4.7382 0.4250 4.0000 9.1632 1.0916 1.0700 1.1680
80 4.5083 0.4250 4.0000 8.9333 1.0893 1.0700 1.1656
85 4.3054 0.4250 4.0000 8.7304 1.0873 1.0700 1.1634
90 4.2180 0.4000 4.0000 8.6180 1.0862 1.0700 1.1622
95 4.1334 0.4000 4.0000 8.5334 1.0853 1.0700 1.1613
100 3.9802 0.4000 4.0000 8.3802 1.0838 1.0700 1.1597
105 4.4448 0.4000 3.5000 8.3448 1.0834 1.0700 1.1592
110 4.3394 0.4000 3.5000 8.2394 1.0824 1.0700 1.1582
115 4.1971 0.4000 3.5000 8.0971 1.0810 1.0700 1.1567
120 4.0667 0.4000 3.5000 7.9667 1.0797 1.0700 1.1553
125 4.0120 0.3750 3.5000 7.8870 1.0789 1.0700 1.1544
130 3.9901 0.3750 3.5000 7.8651 1.0787 1.0700 1.1542
135 3.8822 0.3750 3.5000 7.7572 1.0776 1.0700 1.1530
140 3.7820 0.3750 3.5000 7.6570 1.0766 1.0700 1.1520
145 3.6887 0.3750 3.5000 7.5637 1.0756 1.0700 1.1509
150 3.6016 0.3750 3.5000 7.4766 1.0748 1.0700 1.1500
155 3.5201 0.3750 3.5000 7.3951 1.0740 1.0700 1.1492
160 3.4437 0.3750 3.5000 7.3187 1.0732 1.0700 1.1483
165 3.3720 0.3750 3.5000 7.2470 1.0725 1.0700 1.1476
170 3.3045 0.3750 3.5000 7.1795 1.0718 1.0700 1.1468
175 3.2408 0.3750 3.5000 7.1158 1.0712 1.0700 1.1462
180 3.1807 0.3750 3.5000 7.0557 1.0706 1.0700 1.1455
185 3.1238 0.3750 3.5000 6.9988 1.0700 1.0700 1.1449
190 3.0699 0.3750 3.5000 6.9449 1.0694 1.0700 1.1443
195 3.0188 0.3750 3.5000 6.8938 1.0689 1.0700 1.1437
≥ 200 2.9702 0.3750 3.5000 6.8452 1.0685 1.0700 1.1433
หมายเหตุ 1. กรณีค่างานอยู่ระหว่างช่วงของค่างานต้นทุนที่ก าหนด ให้เทียบอัตราส่วนเพื่อหาค่า Factor F หรือใช้สูตรค านวณ
ึ่
2. ถ้าเป็นงานเงินกหรือจากแหล่งอนซงไม่ต้องช าระภาษีมูลค่าเพิ่ม ให้ใช้ Factor F ในช่อง "รวมในรูป Factor"
ู้
ื่

